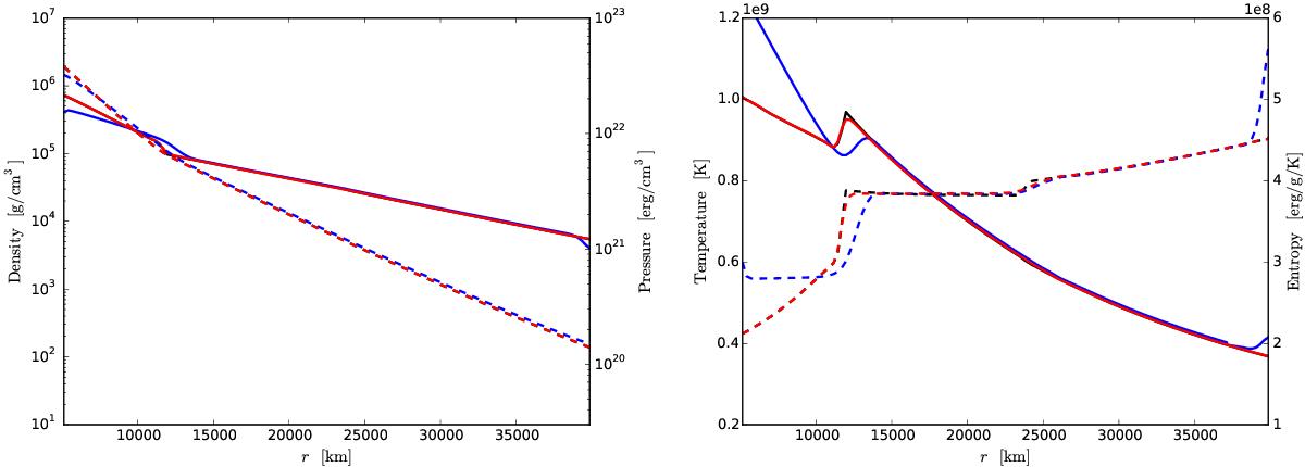
Fig. 9

Spherically averaged profiles at the end of the simulation for the resolution Nr = 128. In each panel, the black lines are the initial profiles, the blue lines were computed with the standard scheme and the red lines with the well-balanced scheme. Left panel: density (solid lines) and pressure (dashed lines) profiles. Right panel: temperature (solid lines) and specific entropy (dashed lines) profiles. Note that the initial profiles are nearly indistinguishable from the well-balanced profiles at final time.
Current usage metrics show cumulative count of Article Views (full-text article views including HTML views, PDF and ePub downloads, according to the available data) and Abstracts Views on Vision4Press platform.
Data correspond to usage on the plateform after 2015. The current usage metrics is available 48-96 hours after online publication and is updated daily on week days.
Initial download of the metrics may take a while.