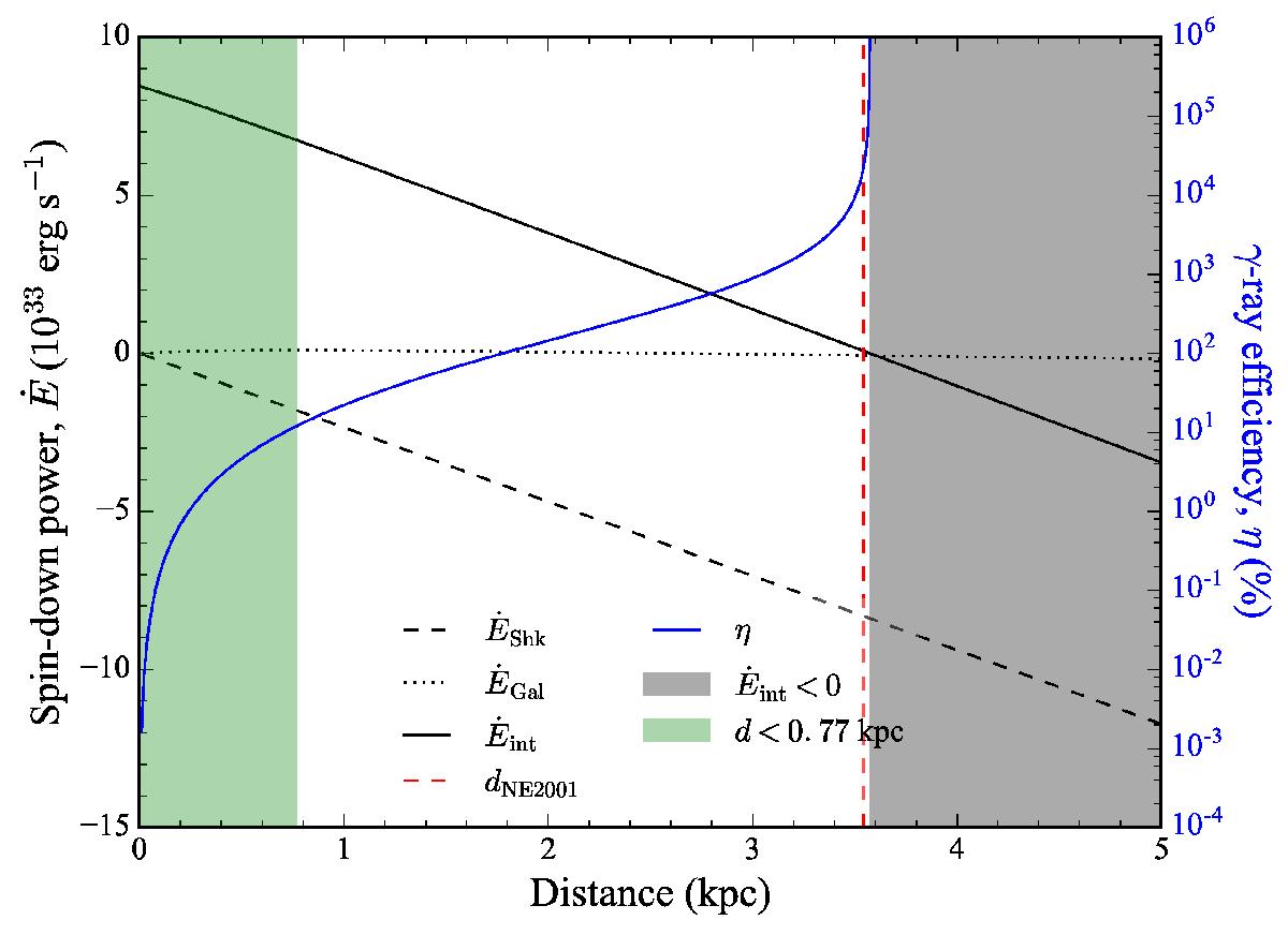
Fig. 1

Spin-down power Ė and γ-ray efficiency η as a function of the distance, for PSR J0610−2100. ĖShk denotes the Shklovskii correction to Ė, ĖGal is the contribution from the line of sight acceleration in the Galactic potential, and Ėint is the spin-down power obtained after correction for these effects. The blue curve represents the γ-ray efficiency, η (the y-axis scale is in percent), and the gray-shaded area shows the region excluded by the condition η> 0. Finally, the red dashed line shows the NE2001-predicted distance for PSR J0610−2100 of 3.54 kpc, and the green-shaded region represents the zone excluded by the 2σ lower limit on the distance from our timing analysis, of 0.77 kpc.
Current usage metrics show cumulative count of Article Views (full-text article views including HTML views, PDF and ePub downloads, according to the available data) and Abstracts Views on Vision4Press platform.
Data correspond to usage on the plateform after 2015. The current usage metrics is available 48-96 hours after online publication and is updated daily on week days.
Initial download of the metrics may take a while.