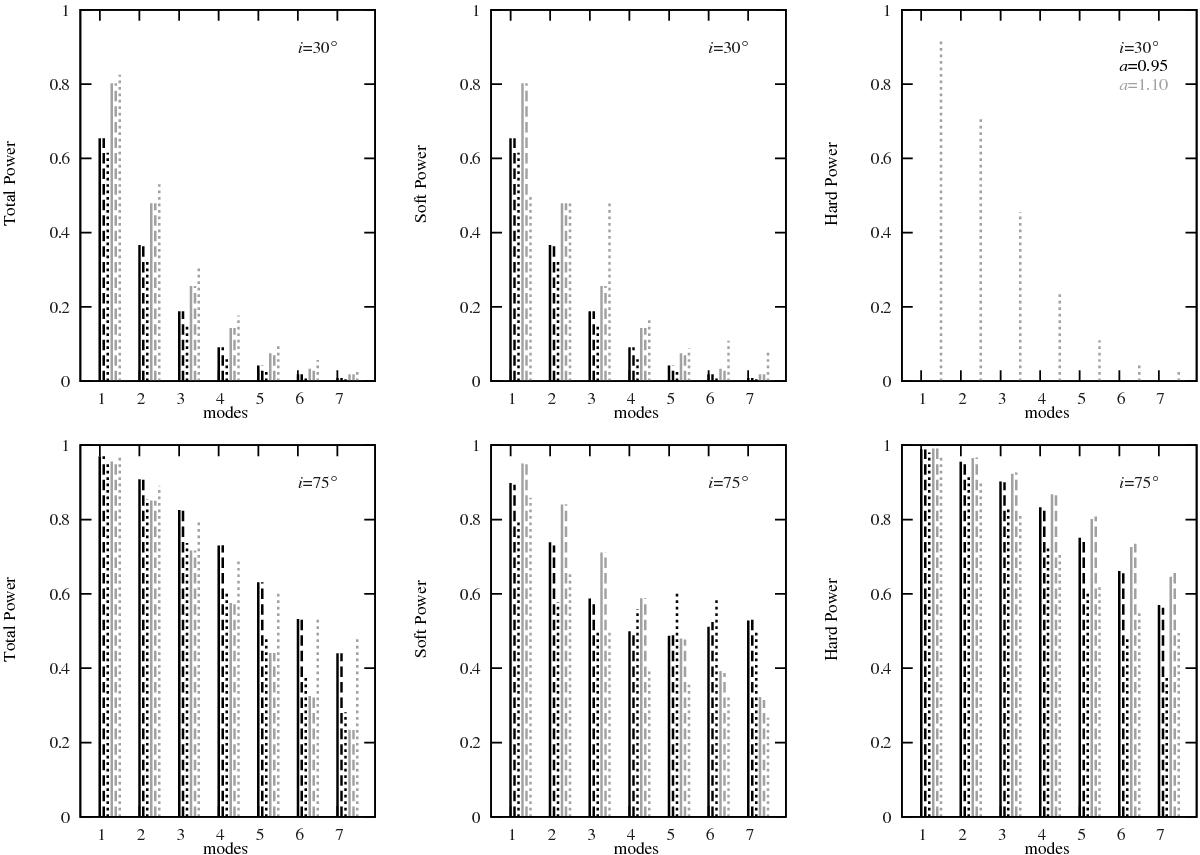
Fig. 3

Fundamental modes and lowest-order harmonics of the light curves presented in Fig. 2. The number of potentially observable modes and their relative amplitudes are strongly dependent on the type of the compact object, the inclination angle i, and the presence of a dipolar magnetic field. At small inclinations, the modes in the hard energy band are only visible, in the NS case, in a magnetised accretion disc with λD = 0.1, which makes this a particularly interesting tool for determining the parameter λD.
Current usage metrics show cumulative count of Article Views (full-text article views including HTML views, PDF and ePub downloads, according to the available data) and Abstracts Views on Vision4Press platform.
Data correspond to usage on the plateform after 2015. The current usage metrics is available 48-96 hours after online publication and is updated daily on week days.
Initial download of the metrics may take a while.