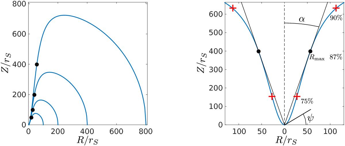
Fig. 2

Left: shapes of tori with constant angular momentum. PDs with Rin → Rmb have an arbitrarily high H/R, see also Fig. 4. Shapes correspond to Rin/rS = 2.025,2.01,2.005, and 2.0025. Black dots indicate the highest H/R. Right: Torus with Rin/rS = 2.0025, corresponding to χ = cotα = 7.04. The dot indicates the highest H/R, crosses indicate the outer boundary of the region, where 75% and 90% of the total radiation is generated. We note that the scaling is different for vertical and horizontal axes.
Current usage metrics show cumulative count of Article Views (full-text article views including HTML views, PDF and ePub downloads, according to the available data) and Abstracts Views on Vision4Press platform.
Data correspond to usage on the plateform after 2015. The current usage metrics is available 48-96 hours after online publication and is updated daily on week days.
Initial download of the metrics may take a while.