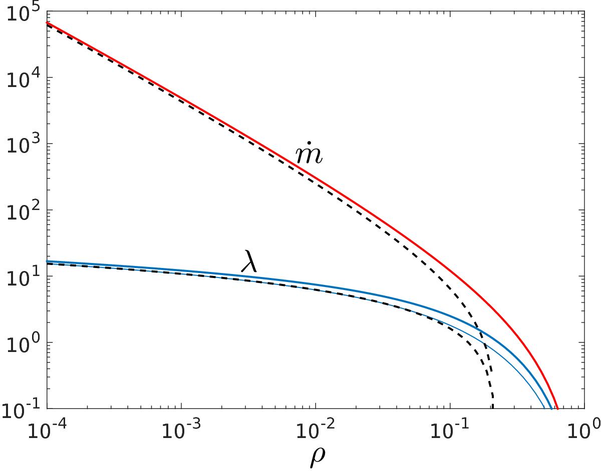
Fig. 6

Luminosity λ and accretion rate ṁ for large, non-advective PDs with constant angular momentum. The luminosity integrated over whole torus is indicated with a thick line, while the thin line corresponds to the funnel luminosity (i.e., integrated over R < Rmax). The dash-dotted lines correspond to the asymptotic formulae for very thick tori, Eqs. (46), (47).
Current usage metrics show cumulative count of Article Views (full-text article views including HTML views, PDF and ePub downloads, according to the available data) and Abstracts Views on Vision4Press platform.
Data correspond to usage on the plateform after 2015. The current usage metrics is available 48-96 hours after online publication and is updated daily on week days.
Initial download of the metrics may take a while.