Fig. 12

image

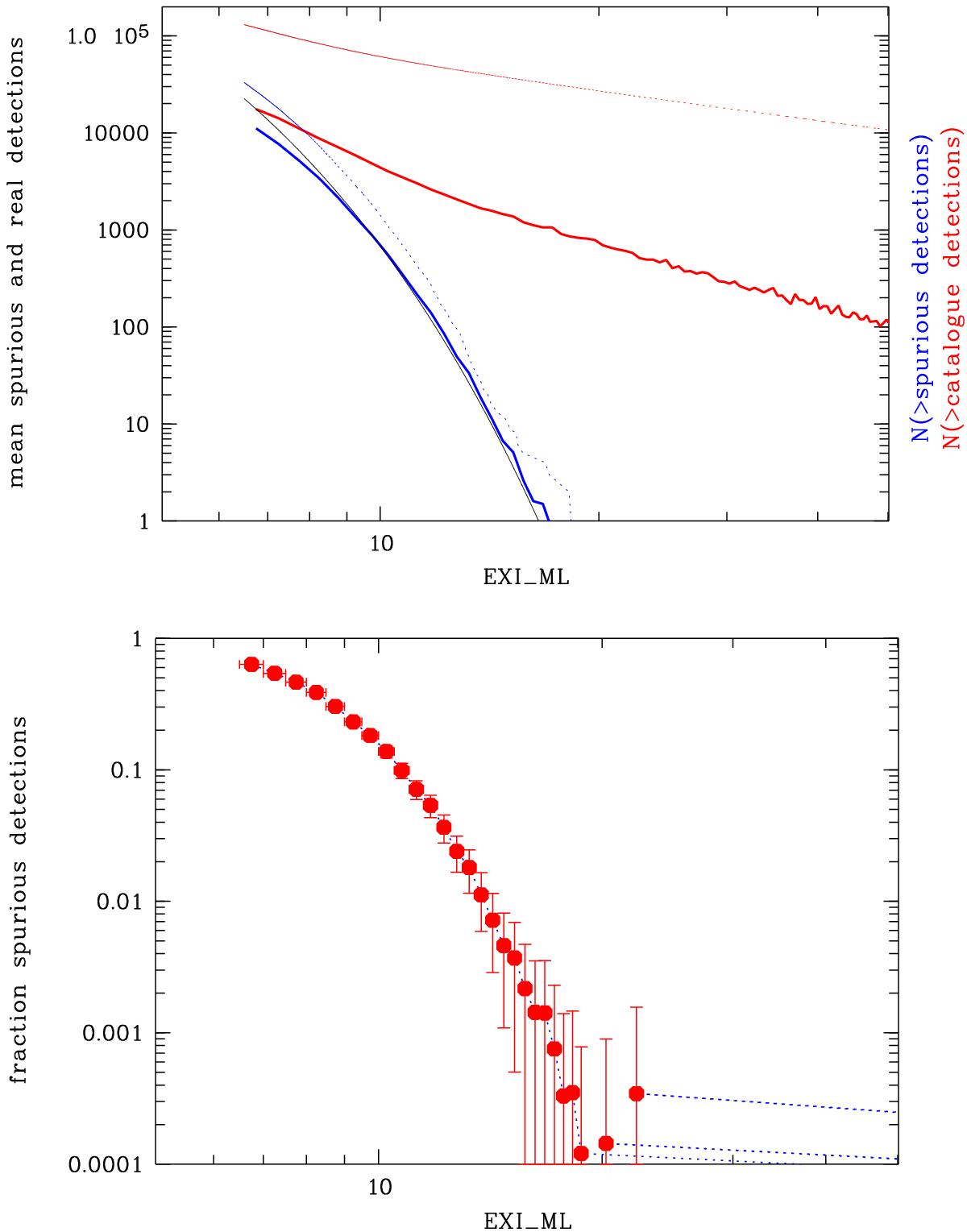
Upper panel: differential (solid blue) distribution of the number of spurious detections and differential (solid red) distribution of catalogue sources. The integral distributions of spurious detections (thin blue, dashed) and catalogue sources (thin red, dashed) are shown in addition with the labelling given on the right y-axis. The solid black thin line gives the theoretical differential relation between the detection likelihood and the probability that a source is spurious. Lower panel: fraction of spurious detections as a function of the existence likelihood. Details of the simulations are described in Sect. 4.4.1.

Current usage metrics show cumulative count of Article Views (full-text article views including HTML views, PDF and ePub downloads, according to the available data) and Abstracts Views on Vision4Press platform.

Data correspond to usage on the plateform after 2015. The current usage metrics is available 48-96 hours after online publication and is updated daily on week days.

Initial download of the metrics may take a while.