Free Access

Fig. 13

image

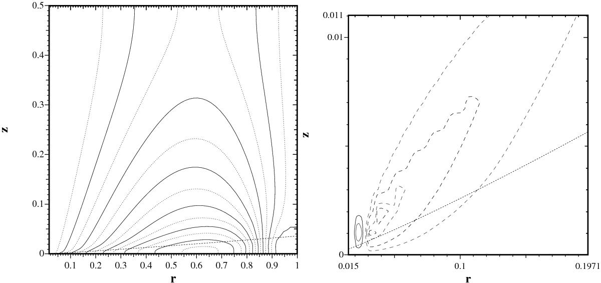
Global solution (left, contours of the poloidal field) and a magnified view of the solution near r = rin (right, contours of toroidal field), for the slightly supercritical odd parity model with fv = 1.0 and negative Rα – model l55. The maximum value of Bφ is approximately 6.4 × 104 G, and the contour spacing is 1.6 × 104 G. The dashed curve shows the disc boundary.

This figure is made of several images, please see below:

Current usage metrics show cumulative count of Article Views (full-text article views including HTML views, PDF and ePub downloads, according to the available data) and Abstracts Views on Vision4Press platform.

Data correspond to usage on the plateform after 2015. The current usage metrics is available 48-96 hours after online publication and is updated daily on week days.

Initial download of the metrics may take a while.