Free Access

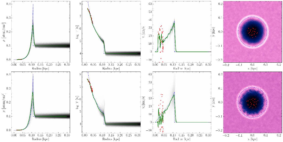
Fig. 5

image

Density, temperature radial velocity, and surface density for two models with N = 2563 particles for different artificial viscosities. Top: the classical formulation (Monaghan & Gingold 1983) (model “a”). Bottom: the formulation proposed by Monaghan (1997) and used as a default in the Gadget-2 code (model “b”). In each panel, the blue dashed curve corresponds to the analytical Sedov-Taylor solution while the green dashed curve is the average particle value. The particles indicated in red were directly assigned feedback energy. Because of the lower efficiency of the standard Gadget-2 artificial viscosity (bottom), some gas particles can penetrate into the ISM through the supernova shell. This is visible in anisotropies in the density behind the shock front.

Current usage metrics show cumulative count of Article Views (full-text article views including HTML views, PDF and ePub downloads, according to the available data) and Abstracts Views on Vision4Press platform.

Data correspond to usage on the plateform after 2015. The current usage metrics is available 48-96 hours after online publication and is updated daily on week days.

Initial download of the metrics may take a while.