Free Access

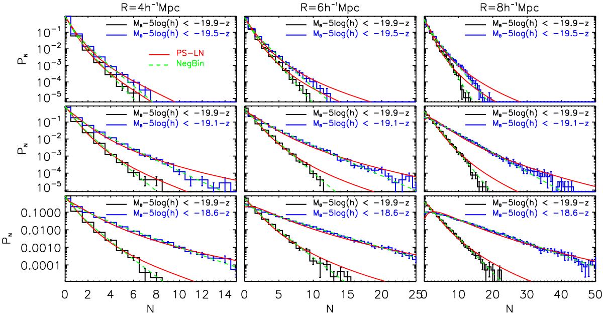
Fig. 8

image

Observed count-in-cell probability distribution function PN (histograms) from VIPERS PDR-1 for various luminosity cuts (indicated in the inset). Each row corresponds to a redshift bin, from the bottom to the top, 0.5 <z< 0.7, 0.7 <z< 0.9, and 0.9 <z< 1.1. Each column corresponds to a cell radius R = 4,6,8 h-1 Mpc from left to right. Moreover we added the expected PDF from two models which match the two first moments of the observed distribution; the red solid line shows the prediction for a Poisson-sampled log-normal (PS-LN) CPDF, while the green dashed line indicates the negative binomial model for the CPDF.

Current usage metrics show cumulative count of Article Views (full-text article views including HTML views, PDF and ePub downloads, according to the available data) and Abstracts Views on Vision4Press platform.

Data correspond to usage on the plateform after 2015. The current usage metrics is available 48-96 hours after online publication and is updated daily on week days.

Initial download of the metrics may take a while.