Free Access

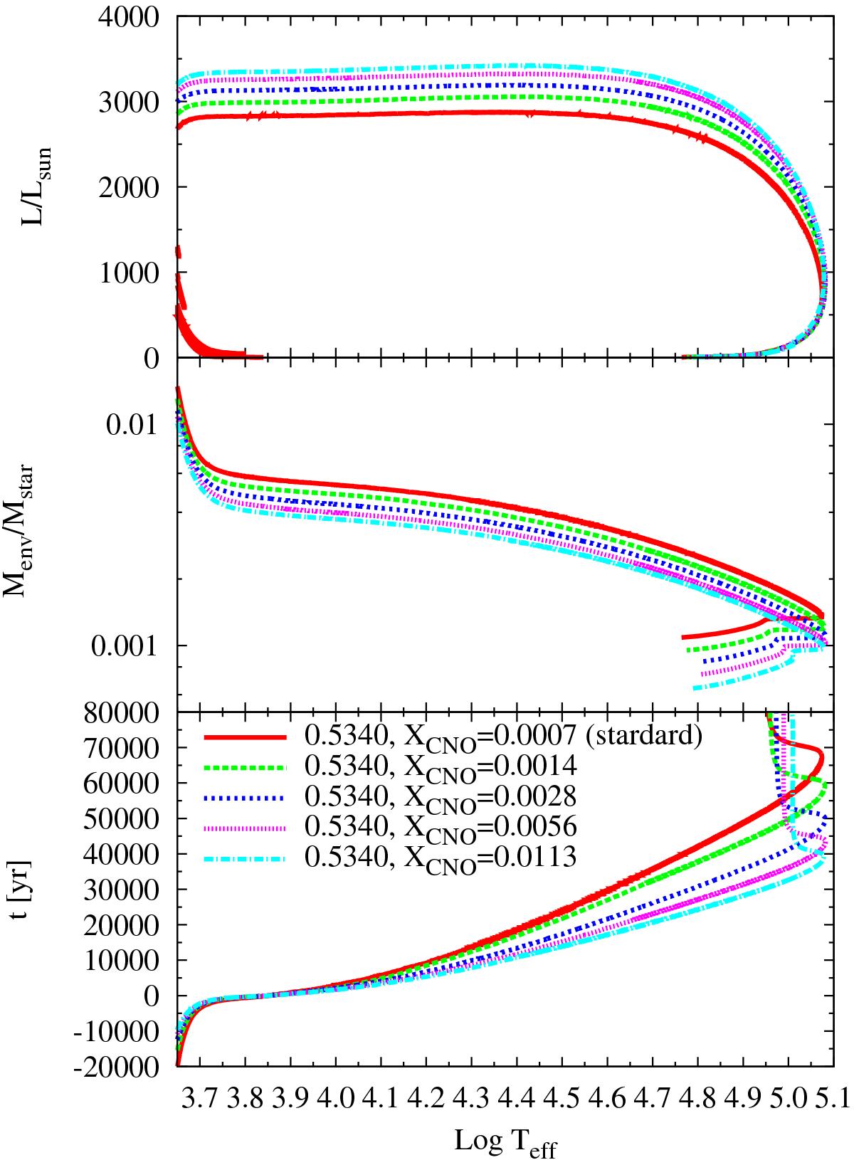
Fig. A.2

image

Evolution of the main quantities of the sequences with Mf = 0.5340 M (Z0 = 0.001) with different degrees of CNO pollution in the H envelope (see text for a discussion). There are higher luminosities, smaller final envelope masses and, consequently, shorter post-AGB timescales when the envelope is polluted with C and O.

Current usage metrics show cumulative count of Article Views (full-text article views including HTML views, PDF and ePub downloads, according to the available data) and Abstracts Views on Vision4Press platform.

Data correspond to usage on the plateform after 2015. The current usage metrics is available 48-96 hours after online publication and is updated daily on week days.

Initial download of the metrics may take a while.