Free Access

Fig. 10

image

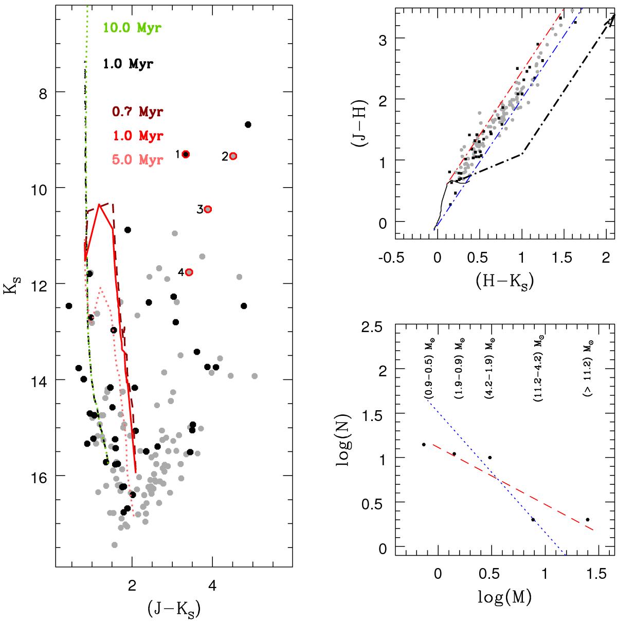
VVV CL089 field-star decontaminated CMD (left) and CCD (right, top). For the CMD and CCD we use the same colour code as in Fig. 3. Right, bottom: VVV CL089 P-DMF. The points show the central position in the mass ranges indicated above them, and the line corresponds to the best fit (red, segmented) to the data.

Current usage metrics show cumulative count of Article Views (full-text article views including HTML views, PDF and ePub downloads, according to the available data) and Abstracts Views on Vision4Press platform.

Data correspond to usage on the plateform after 2015. The current usage metrics is available 48-96 hours after online publication and is updated daily on week days.

Initial download of the metrics may take a while.