Free Access

Fig. 6

image

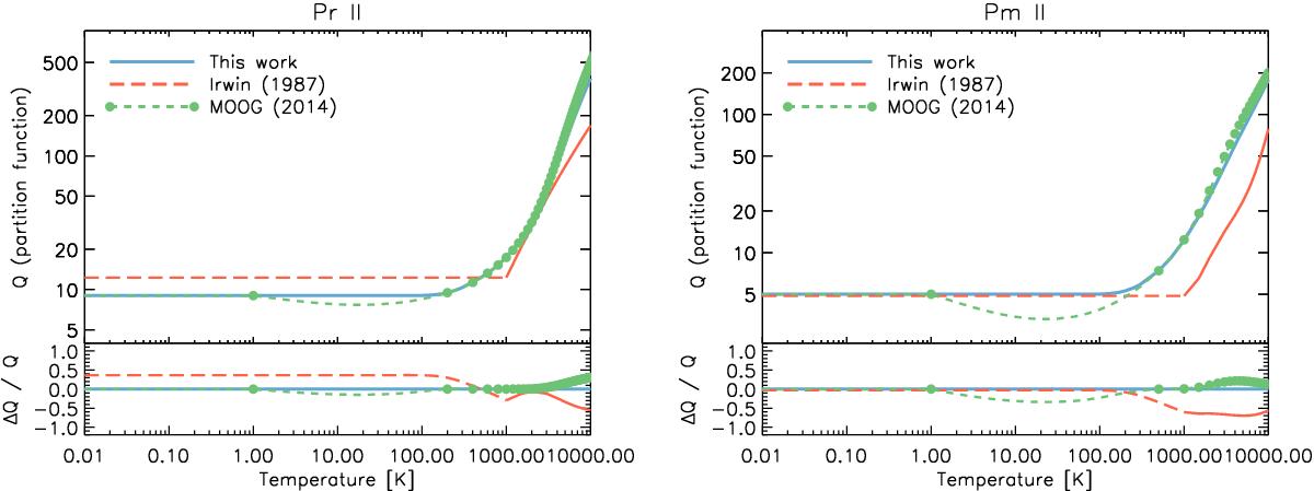
Similar to Figs. 4 and 5, for Pr ii and Pm ii, which, among the lanthanide ions, show the largest differences in terms of partition function values between our NIST-based calculations (blue curves) and Lawler & Sneden’s (green dots) data at temperatures below 10 000 K.

This figure is made of several images, please see below:

Current usage metrics show cumulative count of Article Views (full-text article views including HTML views, PDF and ePub downloads, according to the available data) and Abstracts Views on Vision4Press platform.

Data correspond to usage on the plateform after 2015. The current usage metrics is available 48-96 hours after online publication and is updated daily on week days.

Initial download of the metrics may take a while.