Free Access

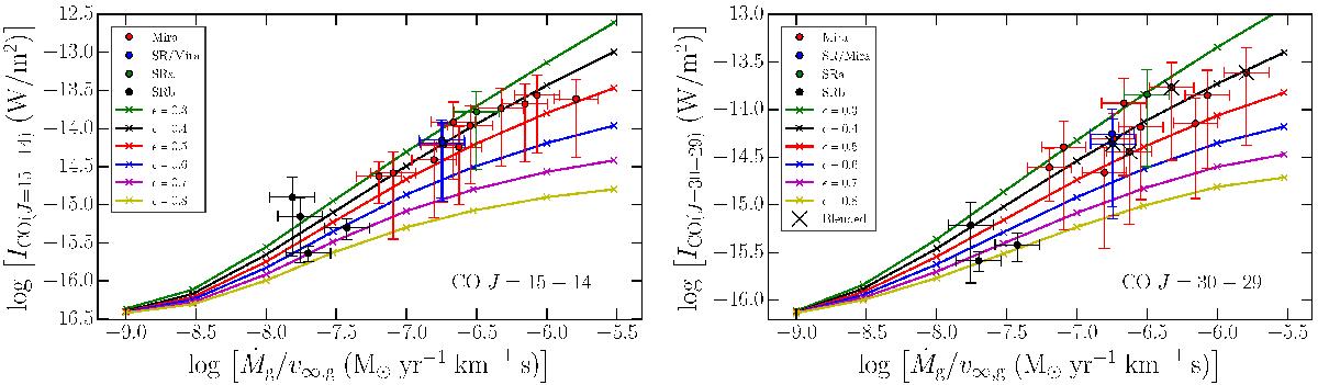
Fig. 5

image

Line strengths of two CO transitions as a function of g/ ν∞,g: CO J = 15−14 on the left and CO J = 30−29 on the right. The points with error bars give the measured CO line strengths, color coded according to the variability type. A black cross superimposed on the data point indicates that the CO line is flagged as a blend. The colored curves show the predicted CO line strength for various values of the temperature power law exponent ϵ. Adopted values for other parameters are listed in Table 4. The line strengths are scaled to a distance of 100 pc.

This figure is made of several images, please see below:

Current usage metrics show cumulative count of Article Views (full-text article views including HTML views, PDF and ePub downloads, according to the available data) and Abstracts Views on Vision4Press platform.

Data correspond to usage on the plateform after 2015. The current usage metrics is available 48-96 hours after online publication and is updated daily on week days.

Initial download of the metrics may take a while.