Free Access

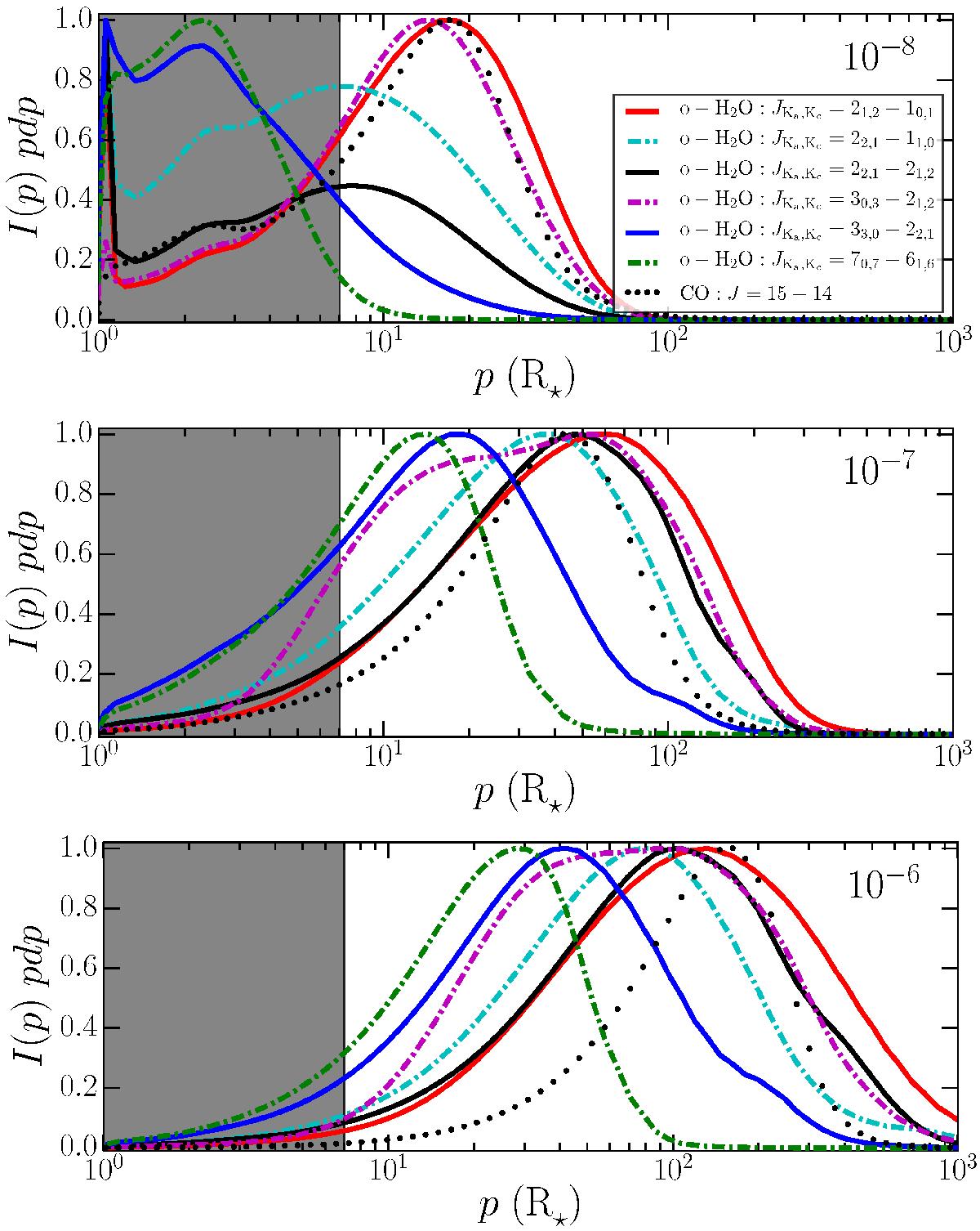
Fig. 9

image

Line contribution regions for ortho-H2O. The normalized quantity I(p) pdp is shown as a function of the impact parameter p for six transitions identified in the legend in the top panel. The different panels show the line contributions for models with g/ ν∞,g = 10-8 M yr-1 km-1 s and nH2O/nH2= 10-6 in the top panel, g/ ν∞,g = 10-7 M yr-1 km-1 s and nH2O/nH2= 10-4 in the middle panel, and g/ ν∞,g = 10-6 M yr-1 km-1 s and nH2O/nH2= 10-5 in the bottom panel. The gray area indicates the wind acceleration zone.

This figure is made of several images, please see below:

Current usage metrics show cumulative count of Article Views (full-text article views including HTML views, PDF and ePub downloads, according to the available data) and Abstracts Views on Vision4Press platform.

Data correspond to usage on the plateform after 2015. The current usage metrics is available 48-96 hours after online publication and is updated daily on week days.

Initial download of the metrics may take a while.