Free Access

Fig. 9

image

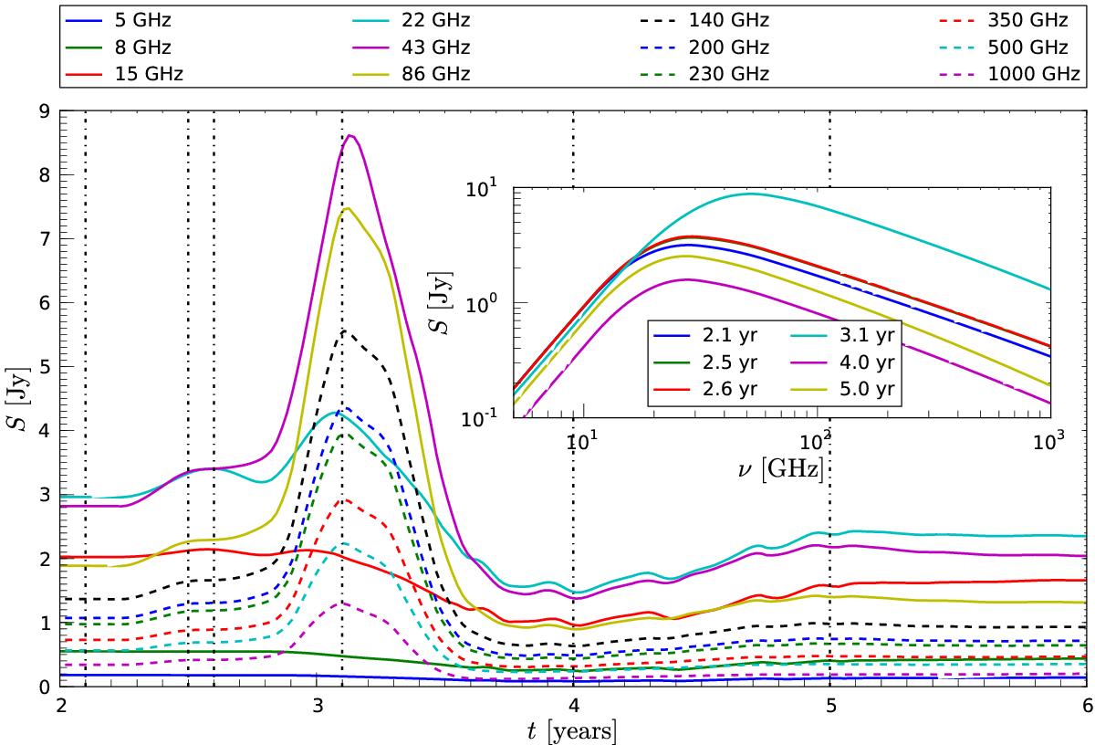
Single-dish light curves for several frequencies computed for the OP jet. The time is given in the observers frame. The first flux density variations are observed two years after the injection of the perturbation (second dashed vertical line from the left). The inlet shows the variation of the spectrum for six different times indicated by dash-dotted vertical lines.

Current usage metrics show cumulative count of Article Views (full-text article views including HTML views, PDF and ePub downloads, according to the available data) and Abstracts Views on Vision4Press platform.

Data correspond to usage on the plateform after 2015. The current usage metrics is available 48-96 hours after online publication and is updated daily on week days.

Initial download of the metrics may take a while.