Free Access

Fig. 1

image

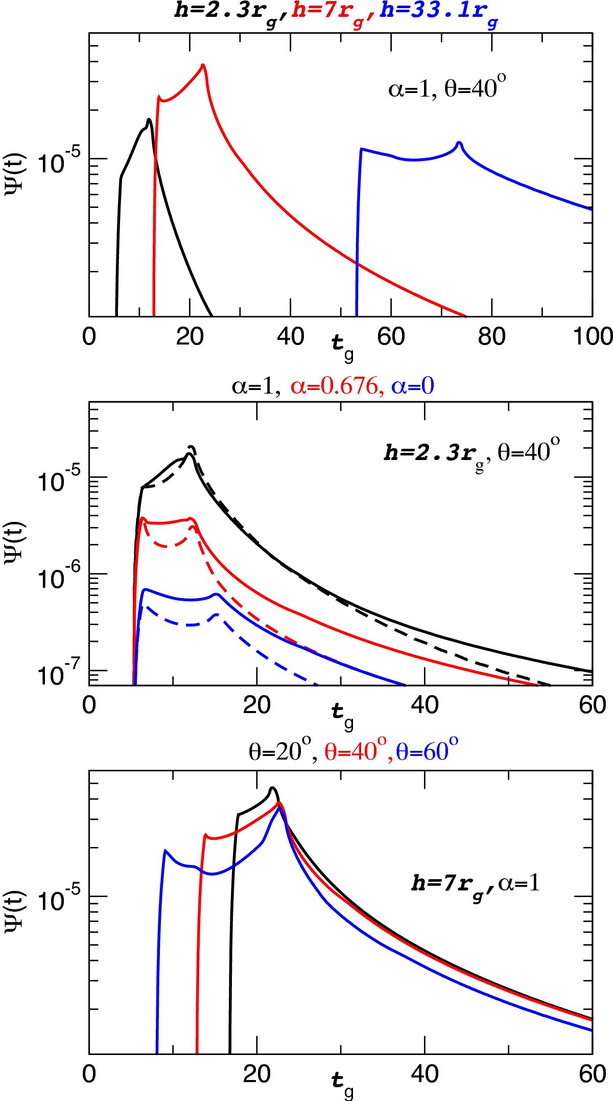
Examples of the 5–7 and 2–4 keV band disc response functions (solid and dashed lines, respectively) in the case of the lamp-post geometry for a 107M BH and various combinations of the source height, BH spin, and inclination angle. Time is measured since the start of the X-ray continuum flash.

Current usage metrics show cumulative count of Article Views (full-text article views including HTML views, PDF and ePub downloads, according to the available data) and Abstracts Views on Vision4Press platform.

Data correspond to usage on the plateform after 2015. The current usage metrics is available 48-96 hours after online publication and is updated daily on week days.

Initial download of the metrics may take a while.