Free Access

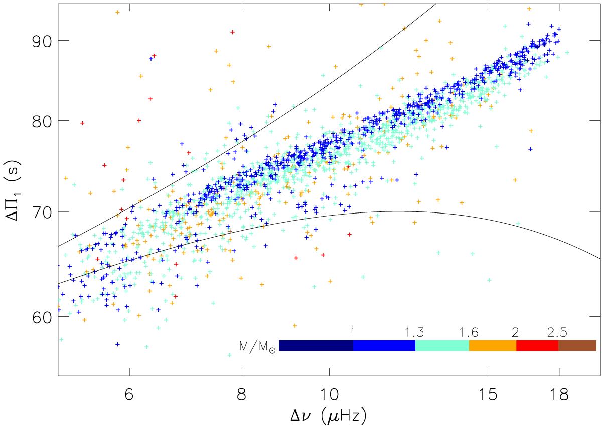
Fig. 10

image

ΔΠ1 (s) in function of the large separation Δν (μHz) for the Kepler red giant public data. The color code indicates the stellar mass (M). We have superimposed two curves indicating the regions where aliases are expected. We note the large number of such artefacts below 9 μHz.

Current usage metrics show cumulative count of Article Views (full-text article views including HTML views, PDF and ePub downloads, according to the available data) and Abstracts Views on Vision4Press platform.

Data correspond to usage on the plateform after 2015. The current usage metrics is available 48-96 hours after online publication and is updated daily on week days.

Initial download of the metrics may take a while.