Free Access

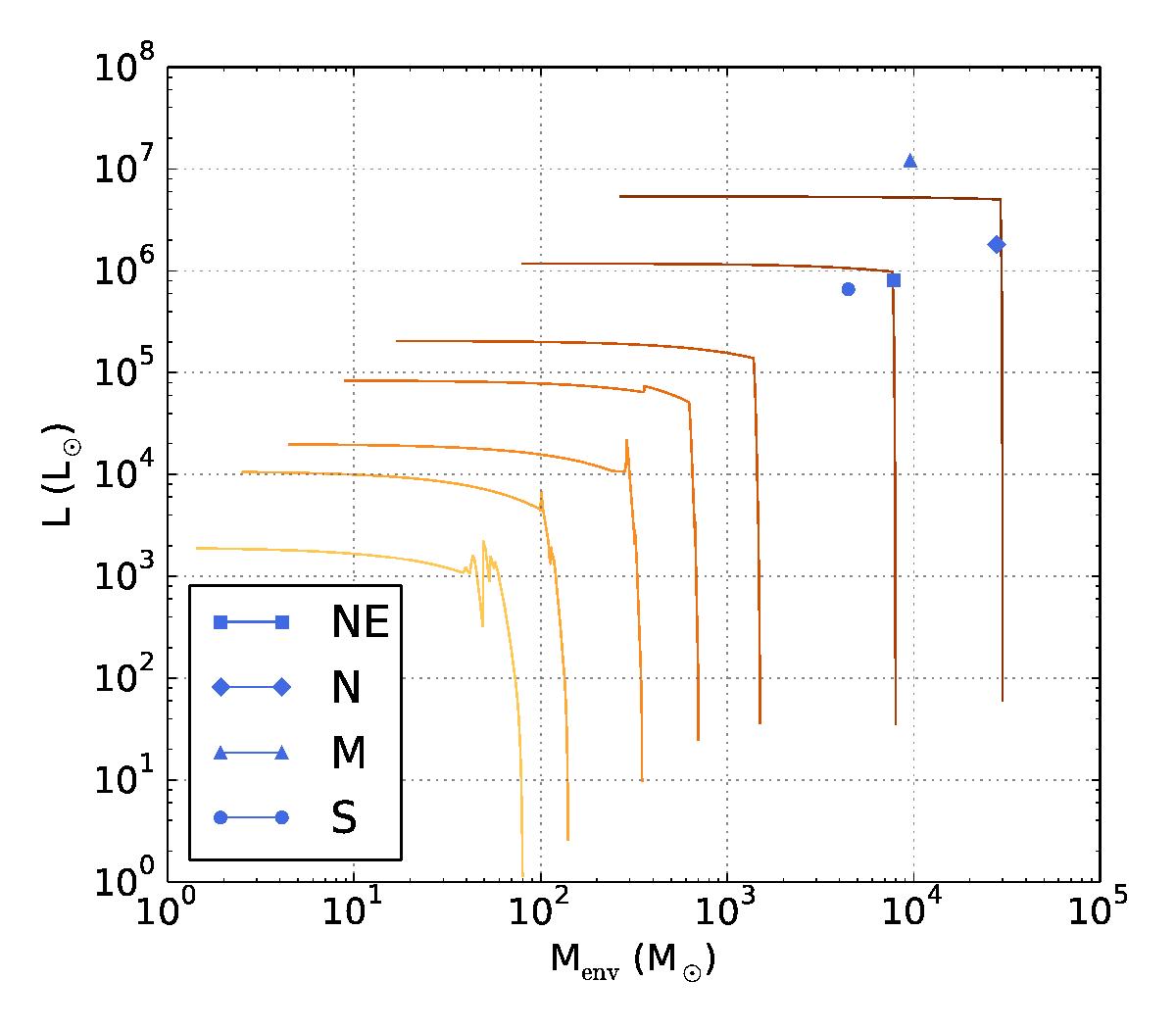
Fig. 12

image

Luminosity-Mass diagram for the four clusters presented here. The five evolutionary tracks with the lowest initial envelope mass are taken from Molinari et al. (2008). The two highest mass tracks are obtained by extending the evolutionary model from Molinari et al. (2008).

Current usage metrics show cumulative count of Article Views (full-text article views including HTML views, PDF and ePub downloads, according to the available data) and Abstracts Views on Vision4Press platform.

Data correspond to usage on the plateform after 2015. The current usage metrics is available 48-96 hours after online publication and is updated daily on week days.

Initial download of the metrics may take a while.