Free Access

Fig. 14

image

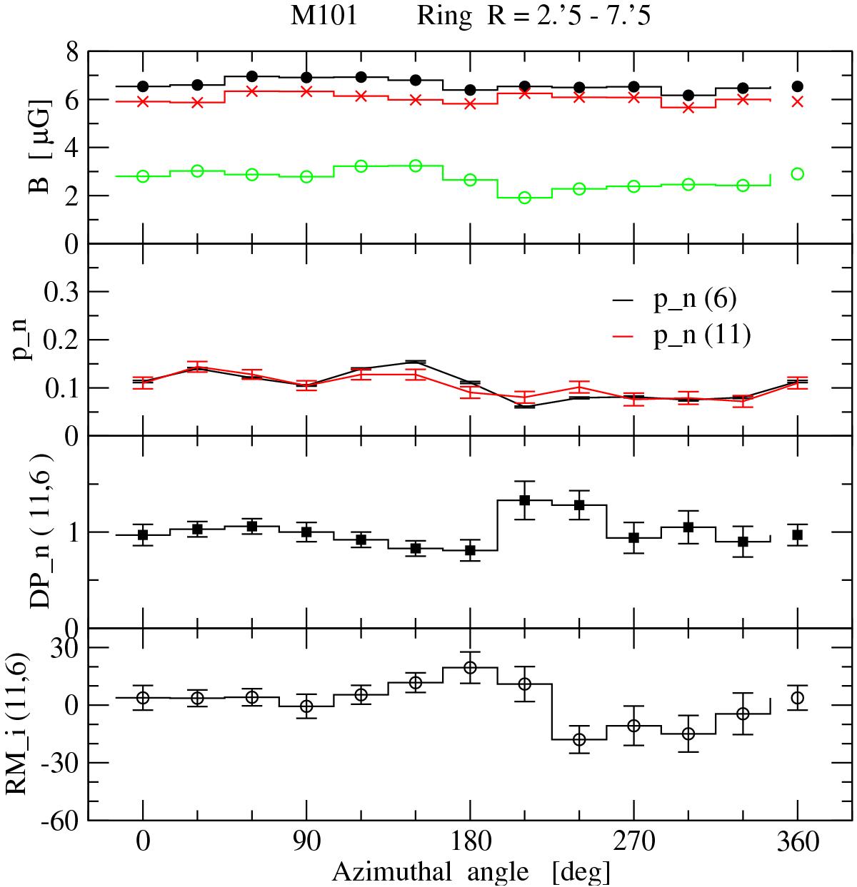
Variation with azimuthal angle in the plane of M 101 of the mean value of several variables, calculated in 30°-wide sectors in the radial ring . The azimuthal angle is counted counter clockwise from the northern major axis. Top panel: Equipartition magnetic field strengths Btot (black dots), Bran (red crosses) and Bord (green circles). Upper middle panel: non-thermal polarization percentages pn(6) and pn(11). Lower middle panel: non-thermal depolarization DPn(11, 6). Bottom panel: intrinsic rotation measure RMi(11, 6). All error bars are statistical errors of one σ. The uncertainty in αn causes systematic errors of 17% in Bord, 20% in pn(6), 12% in pn(11), and 10% in DPn(11, 6).

Current usage metrics show cumulative count of Article Views (full-text article views including HTML views, PDF and ePub downloads, according to the available data) and Abstracts Views on Vision4Press platform.

Data correspond to usage on the plateform after 2015. The current usage metrics is available 48-96 hours after online publication and is updated daily on week days.

Initial download of the metrics may take a while.