Free Access

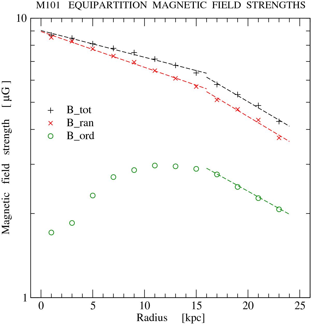
Fig. 8

image

Variation with galacto-centric radius of the equipartition magnetic field strengths Btot, Bran, and Bord averaged in 2 kpc-wide rings in the plane of M 101. There is a change in slope near R=16 kpc. Dashed lines represent the exponential fits yielding the radial scale lengths given in Table 4.

Current usage metrics show cumulative count of Article Views (full-text article views including HTML views, PDF and ePub downloads, according to the available data) and Abstracts Views on Vision4Press platform.

Data correspond to usage on the plateform after 2015. The current usage metrics is available 48-96 hours after online publication and is updated daily on week days.

Initial download of the metrics may take a while.