Free Access

Fig. 1

image

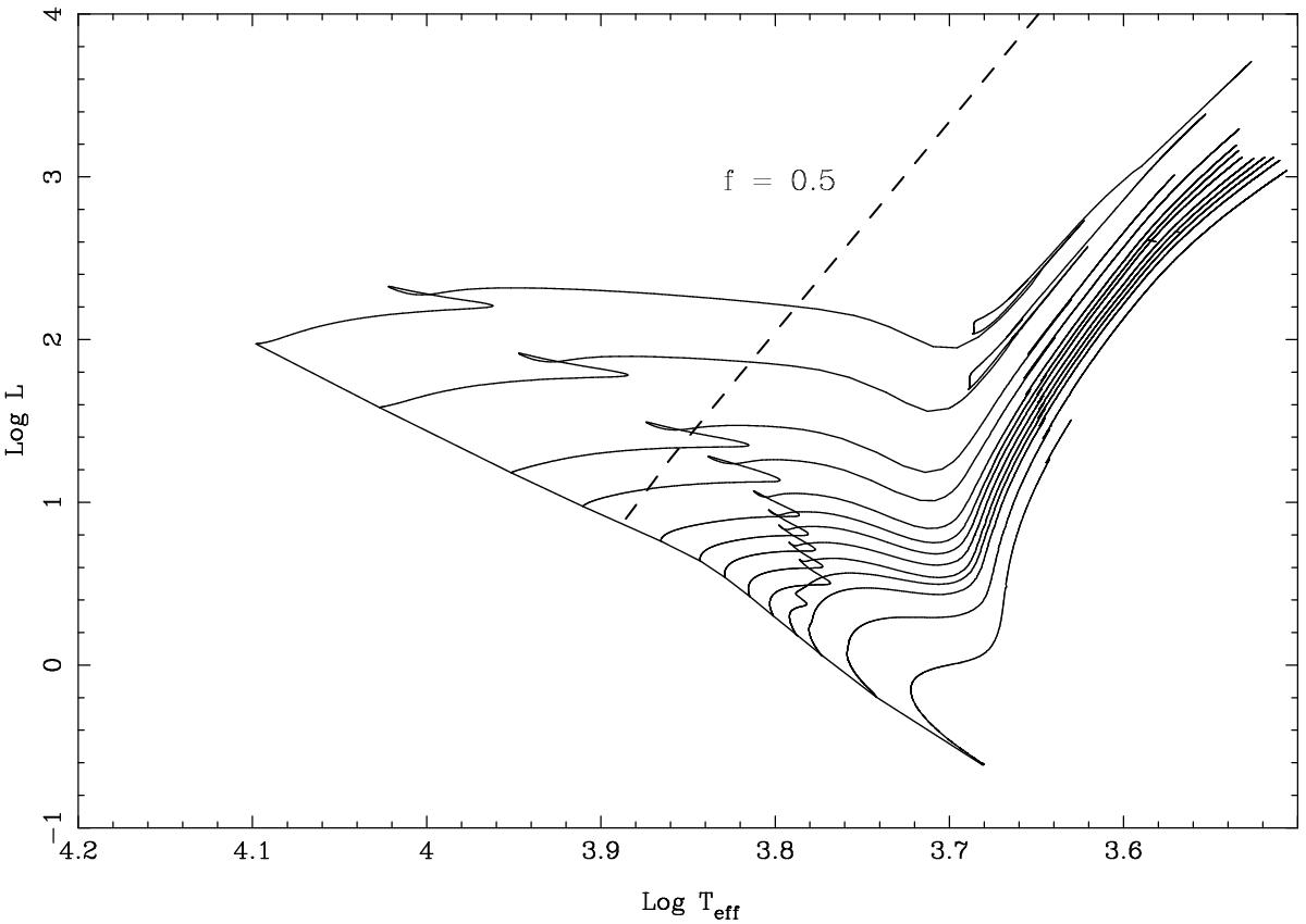
Convective efficiency and gravity-darkening exponent in the HR diagram. The models were computed with the GRANADA code and the masses range from 0.8 up to 3.16 M. Dashed line indicates the locus of the f = 0.5 (Eq. (10)). This line roughly divides the HR diagram in envelopes with high convective efficiency (right) and low convective effciency envelopes (left). The critical log Teff at the ZAMS is around 3.9.

Current usage metrics show cumulative count of Article Views (full-text article views including HTML views, PDF and ePub downloads, according to the available data) and Abstracts Views on Vision4Press platform.

Data correspond to usage on the plateform after 2015. The current usage metrics is available 48-96 hours after online publication and is updated daily on week days.

Initial download of the metrics may take a while.