Free Access

Fig. 1

image

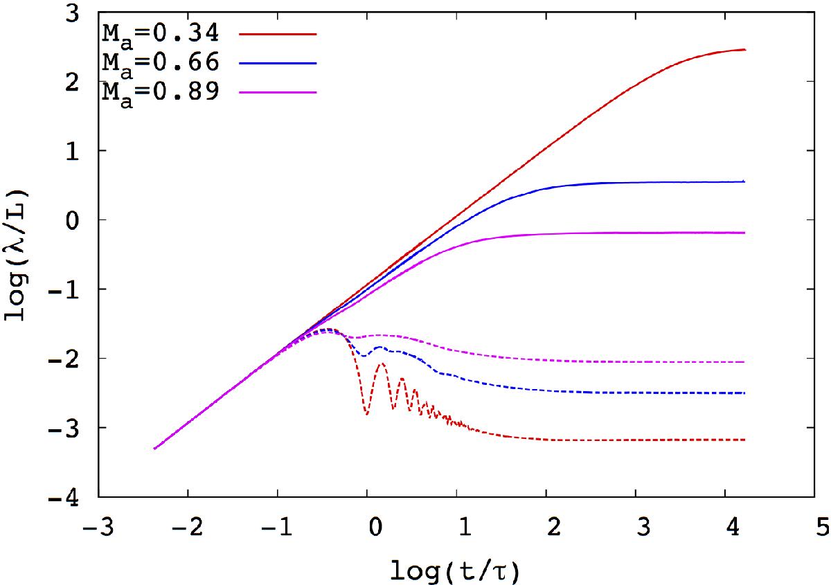
Time-dependent evolution of λ(t) (continuous lines) and λ(t) (dashed lines) for a normalized particle Larmor radius ρ = rL/L = 0.037 at three different Alfvénic Mach numbers with χ = 1 (jobs 9J09c1.0, 9J11c1.0 and 9J12c1.0). The mfp corresponds to the plateau reached at large timescales. Time is in units of particle gyroperiod τ = Ω-1.

Current usage metrics show cumulative count of Article Views (full-text article views including HTML views, PDF and ePub downloads, according to the available data) and Abstracts Views on Vision4Press platform.

Data correspond to usage on the plateform after 2015. The current usage metrics is available 48-96 hours after online publication and is updated daily on week days.

Initial download of the metrics may take a while.