Free Access

Fig. 1

image

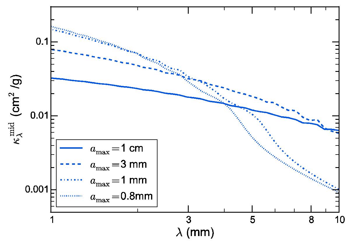
Dust opacity (per gram of dust) for amax = 0.8, 1, 3 mm, and 1 cm, computed for the midplane population of grains assuming the composition of 5.4% astronomical silicates, 20.6% carbonaceous material, 44% water ice, and 30% vacuum and a size distribution n(a) ∝ aq for amin<a<amax with q = 3.0 and amin = 10 nm.

Current usage metrics show cumulative count of Article Views (full-text article views including HTML views, PDF and ePub downloads, according to the available data) and Abstracts Views on Vision4Press platform.

Data correspond to usage on the plateform after 2015. The current usage metrics is available 48-96 hours after online publication and is updated daily on week days.

Initial download of the metrics may take a while.