Free Access

Fig. 5

image

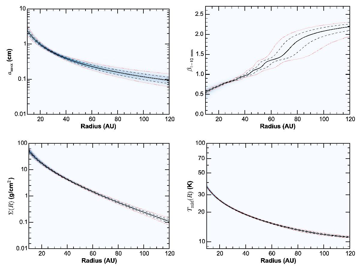
Results of the FT Tau fit. Top: in the left panel, the posterior PDF of the maximum dust grain size amax as a function of the disk radius; in the right panel, the posterior PDF of the dust spectral radial profile β(R) between 1 and 10 mm. Bottom: in the left panel, the posterior PDF of the gas surface density; in the right panel, the posterior PDF of the midplane temperature. Line conventions are the same as those in Fig. 4.

This figure is made of several images, please see below:

Current usage metrics show cumulative count of Article Views (full-text article views including HTML views, PDF and ePub downloads, according to the available data) and Abstracts Views on Vision4Press platform.

Data correspond to usage on the plateform after 2015. The current usage metrics is available 48-96 hours after online publication and is updated daily on week days.

Initial download of the metrics may take a while.