Free Access

Fig. B.2

image

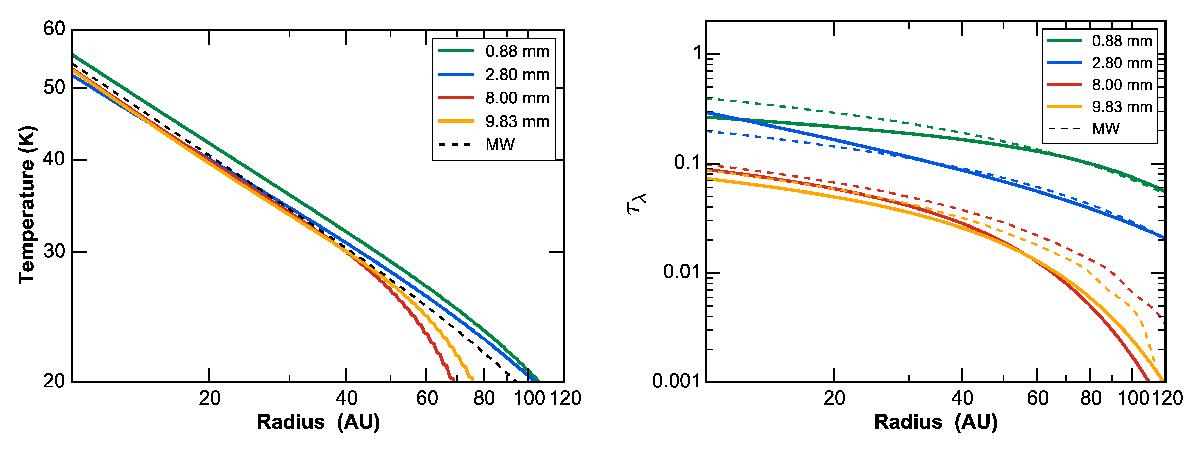
Left panel: best-fit model midplane temperature obtained from fitting each wavelength separately (solid lines, one line per each wavelength) or from our multiwavelength fit (dashed line). Right panel: for the same best-fit models, the optical depth τν = κνΣ of the disk midplane to its own thermal radiation. Both panels: the single-wavelength fits have been performed assuming a constant amax = 1.3 mm (i.e., constant dust opacity) throughout the disk. The dashed lines refer to the best-fit model obtained through multiwavelength modeling.

This figure is made of several images, please see below:

Current usage metrics show cumulative count of Article Views (full-text article views including HTML views, PDF and ePub downloads, according to the available data) and Abstracts Views on Vision4Press platform.

Data correspond to usage on the plateform after 2015. The current usage metrics is available 48-96 hours after online publication and is updated daily on week days.

Initial download of the metrics may take a while.