Free Access

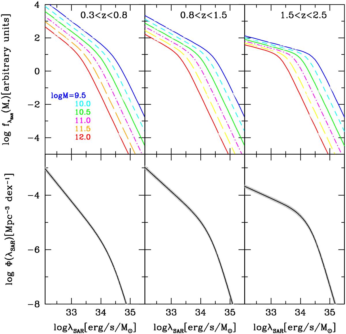
Fig. 4

image

Upper panels: the SAR term split into three redshift bins and described as a double power-law with a mass dependent λSAR as in Eq. (11). Lower panels: SARDF derived through the maximum likelihood method by integrating the bivariate distribution function over M (Eq. (8)). The shaded area includes the errors on the parameters.

Current usage metrics show cumulative count of Article Views (full-text article views including HTML views, PDF and ePub downloads, according to the available data) and Abstracts Views on Vision4Press platform.

Data correspond to usage on the plateform after 2015. The current usage metrics is available 48-96 hours after online publication and is updated daily on week days.

Initial download of the metrics may take a while.