Free Access

Fig. 5

image

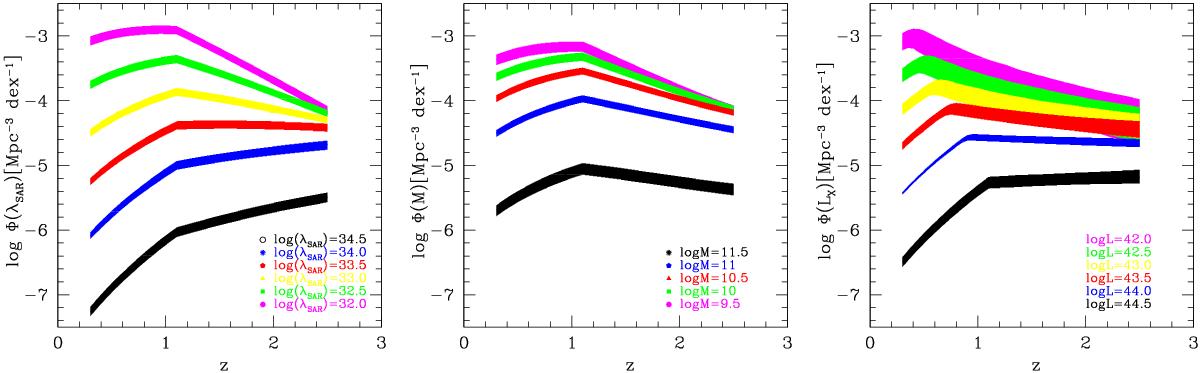
Left panel: redshift evolution of the SARDF space density for different λSAR. Magenta: log(λSAR)= 32 [erg/s /M] (~1% Edd); green: log(λSAR)= 32.5 [erg/s /M] (~3% Edd); yellow: log(λSAR)= 33 [erg/s /M] (~10% Edd); red: log(λSAR)= 33.5 [erg/s /M] (~30% Edd); blue: log(λSAR)= 34.0 [erg/s /M] (~Edd); and black: log(λSAR)= 34.5 [erg/s /M] (>Edd). Central panel: redshift evolution of the HGMF space density for different M. Right panel: redshift evolution of the XLF space density for different LX by Miyaji et al. (2015).

This figure is made of several images, please see below:

Current usage metrics show cumulative count of Article Views (full-text article views including HTML views, PDF and ePub downloads, according to the available data) and Abstracts Views on Vision4Press platform.

Data correspond to usage on the plateform after 2015. The current usage metrics is available 48-96 hours after online publication and is updated daily on week days.

Initial download of the metrics may take a while.