Free Access

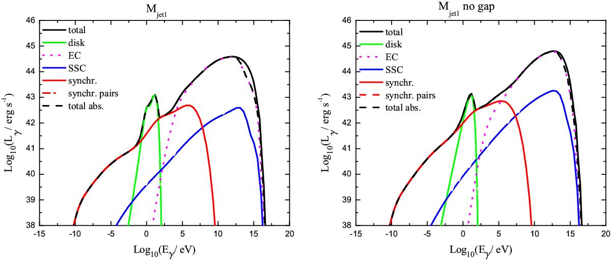
Fig. 5

image

Left: SED of the jet corrected for absorption for the set of parameters Mjet1. Right: the same but for the case of a relativistic thin disk without a gap around a black hole of the same mass, spin, and accretion rate as the primary.

This figure is made of several images, please see below:

Current usage metrics show cumulative count of Article Views (full-text article views including HTML views, PDF and ePub downloads, according to the available data) and Abstracts Views on Vision4Press platform.

Data correspond to usage on the plateform after 2015. The current usage metrics is available 48-96 hours after online publication and is updated daily on week days.

Initial download of the metrics may take a while.