Free Access

Fig. A.5

image

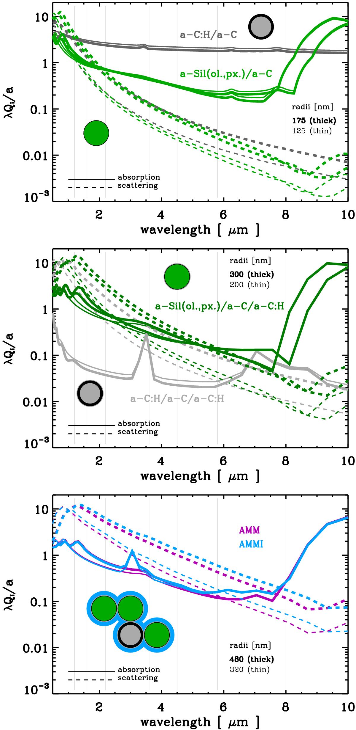
Dust model data (Jones et al. 2013; Köhler et al. 2014, 2015), for grain radii near the mass distribution peak, plotted as λQi/a, for grain radii near the mass distribution peaks for CM (top), CMM (middle), AMM and AMMI grains (bottom). In the grain structure schematics the core radii and the mantle thicknesses are approximately to scale. The vertical grey lines indicate the J, H, K and IRAC 3.6, 4.5, 5.8 and 8 μm photometric band positions.

This figure is made of several images, please see below:

Current usage metrics show cumulative count of Article Views (full-text article views including HTML views, PDF and ePub downloads, according to the available data) and Abstracts Views on Vision4Press platform.

Data correspond to usage on the plateform after 2015. The current usage metrics is available 48-96 hours after online publication and is updated daily on week days.

Initial download of the metrics may take a while.