Free Access

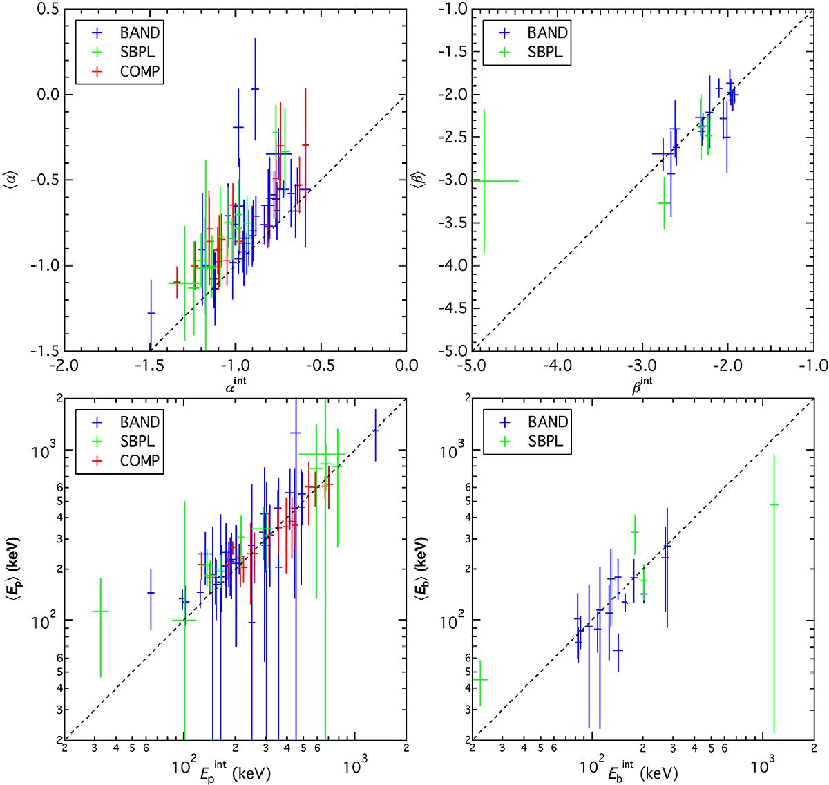
Fig. 7

image

Comparisons between the averaged time-resolved BEST parameters (vertical axis) and the time-integrated BEST parameters (horizontal axis) for each burst in this catalog. The errors of the averaged time-resolved parameters are given by their standard deviations within the burst. Blue, green, and red data points represent the time-integrated BEST model is BAND, SBPL , and COMP, respectively. The diagonal dashed lines show x = y. Only averaged time-resolved parameters determined in five or more time bins are included.

Current usage metrics show cumulative count of Article Views (full-text article views including HTML views, PDF and ePub downloads, according to the available data) and Abstracts Views on Vision4Press platform.

Data correspond to usage on the plateform after 2015. The current usage metrics is available 48-96 hours after online publication and is updated daily on week days.

Initial download of the metrics may take a while.