Free Access

Fig. 6

image

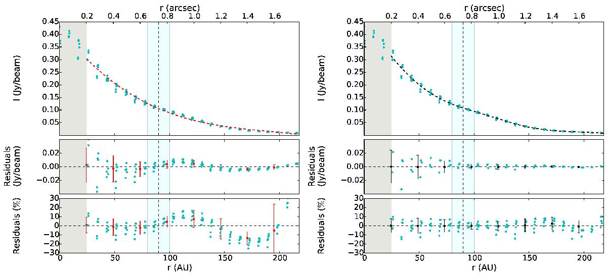
Left: flux density across the disk major axis with a polynomial fit of degree 3 (dashed line in the upper panel). The second and third panels show the absolute residuals and the percentage residuals respectively. Right: the same intensity profile fitted with a 3rd-degree polynomial plus a Gaussian (see Table 3 for the best fit parameters).

This figure is made of several images, please see below:

Current usage metrics show cumulative count of Article Views (full-text article views including HTML views, PDF and ePub downloads, according to the available data) and Abstracts Views on Vision4Press platform.

Data correspond to usage on the plateform after 2015. The current usage metrics is available 48-96 hours after online publication and is updated daily on week days.

Initial download of the metrics may take a while.