Free Access

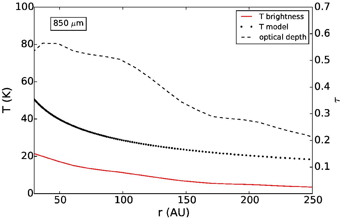
Fig. 8

image

Temperature profile of the best fit model (see Sect. 4) in black dots and brightness temperature from the observations at 850 μm (red solid line) plotted in function of the distance, starting from 30 AU to have a reliable estimate considering the resolution of the observations. On the right axis, the optical depth from the comparison of the two temperatures, plotted as the dashed line.

Current usage metrics show cumulative count of Article Views (full-text article views including HTML views, PDF and ePub downloads, according to the available data) and Abstracts Views on Vision4Press platform.

Data correspond to usage on the plateform after 2015. The current usage metrics is available 48-96 hours after online publication and is updated daily on week days.

Initial download of the metrics may take a while.