Free Access

Fig. 4

image

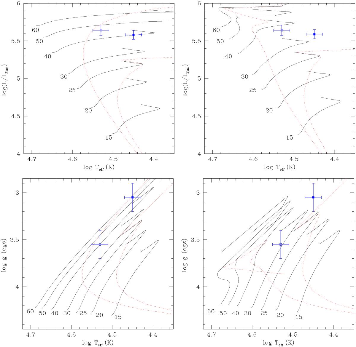
Position of the primary (open square) and secondary (filled square) stars in the Hertzsprung-Russell diagram (upper panels) and the log g–log Teff diagram (lower panels) along with evolutionary tracks for single massive stars at solar metallicity during the core-hydrogen burning phase (Ekström et al. 2012). In the left panels, the evolutionary tracks correspond to non-rotating stars, whilst the right panels yield the results for stars rotating at 0.4 ×. The dotted red lines correspond to isochrones of 3.2 and 6.3 million years for the left panels and of 4.0 and 8.0 million years for the right panels.

This figure is made of several images, please see below:

Current usage metrics show cumulative count of Article Views (full-text article views including HTML views, PDF and ePub downloads, according to the available data) and Abstracts Views on Vision4Press platform.

Data correspond to usage on the plateform after 2015. The current usage metrics is available 48-96 hours after online publication and is updated daily on week days.

Initial download of the metrics may take a while.