Free Access

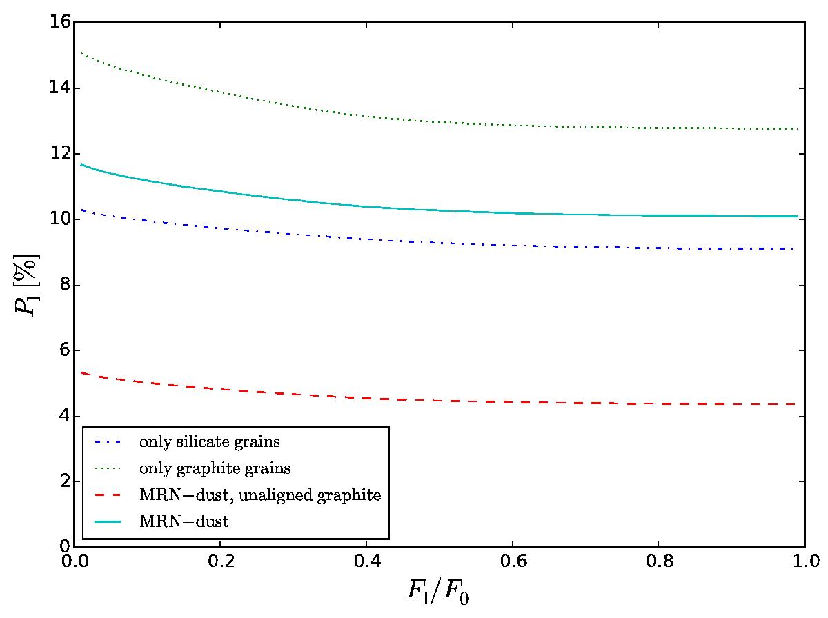
Fig. 6

image

Distribution of the mean degree of polarization Pl vs. the intensity FI across the Bok globule models. The intensity FI is normalized to the maximum intensity F0 of the respective Bok globule. The dust grains in the Bok globule models consist only of silicate, graphite, MRN-dust or MRN-dust with unaligned graphite grains.

Current usage metrics show cumulative count of Article Views (full-text article views including HTML views, PDF and ePub downloads, according to the available data) and Abstracts Views on Vision4Press platform.

Data correspond to usage on the plateform after 2015. The current usage metrics is available 48-96 hours after online publication and is updated daily on week days.

Initial download of the metrics may take a while.