Free Access

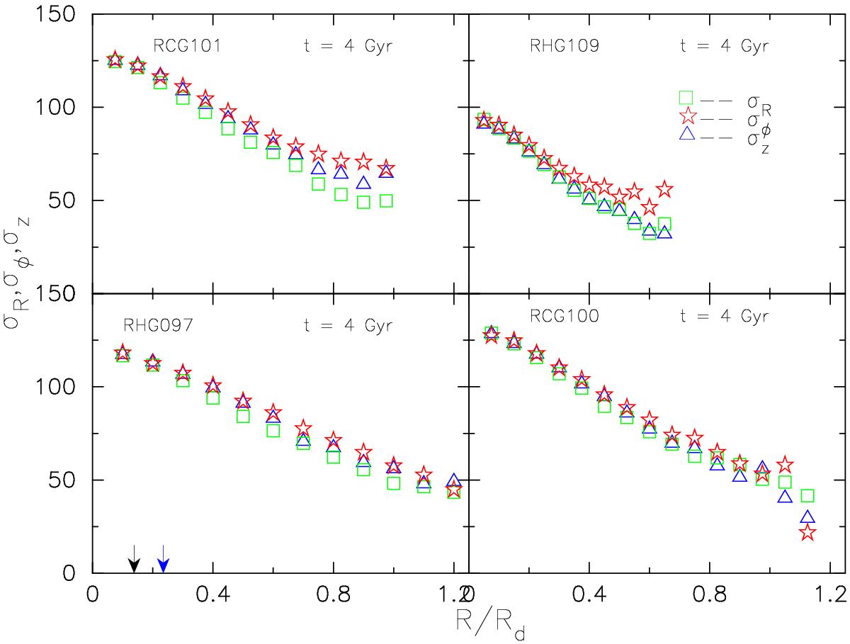
Fig. 12

image

Radial variation of the radial, tangential, and vertical velocity dispersions in the four bulges in RHG097, RCG100, RCG101 and RHG109 after 4 Gyr evolution. The blue and black arrows show the half-mass radii for two bulges RHG109 and RHG097, respectively.

Current usage metrics show cumulative count of Article Views (full-text article views including HTML views, PDF and ePub downloads, according to the available data) and Abstracts Views on Vision4Press platform.

Data correspond to usage on the plateform after 2015. The current usage metrics is available 48-96 hours after online publication and is updated daily on week days.

Initial download of the metrics may take a while.