Free Access

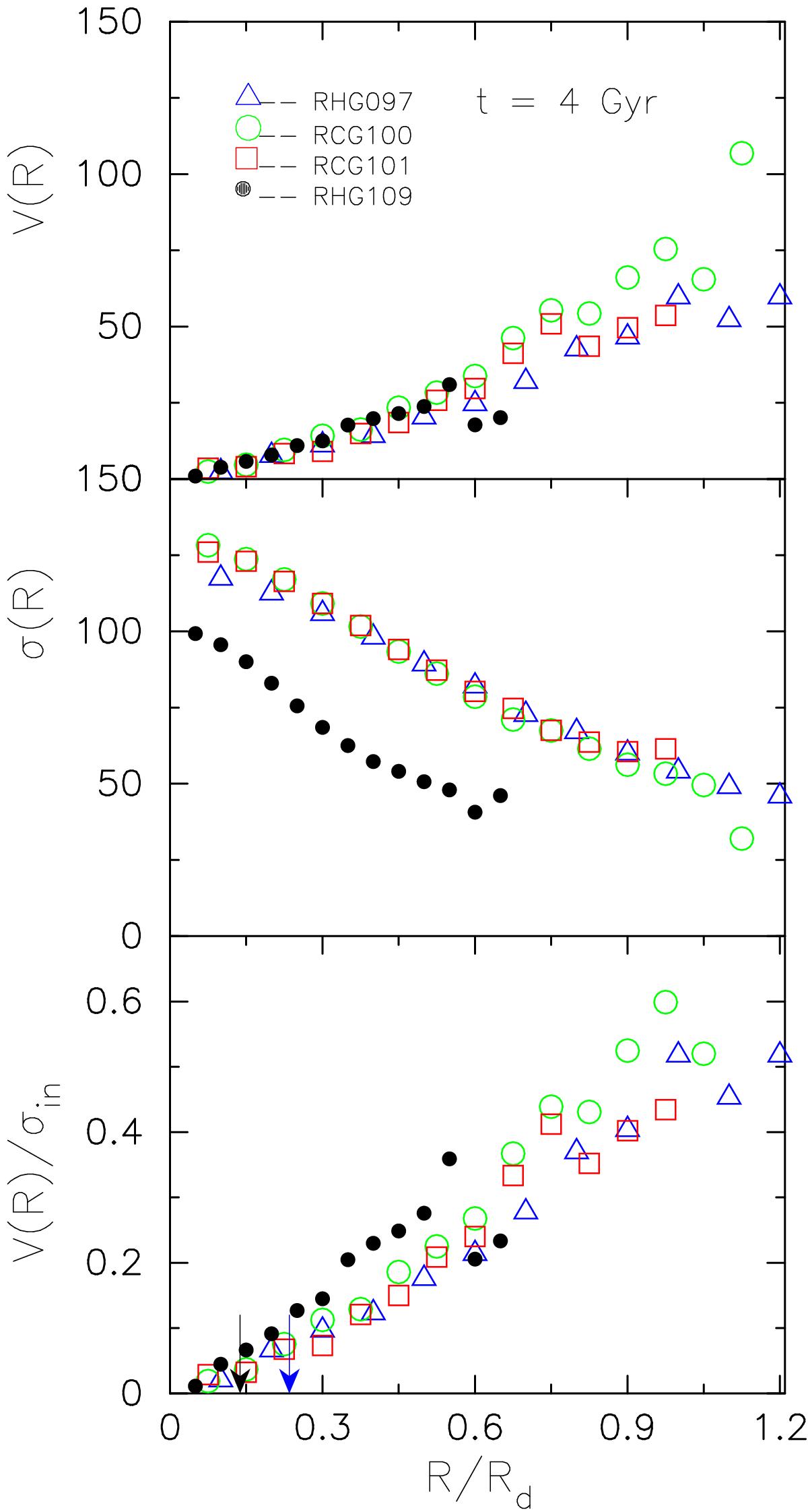
Fig. 9

image

Rotation, velocity dispersion, and local V/σ radial profiles for the four ClBs in models RHG097, RCG100, RCG101 and RHG109. The blue and black arrows show the half-mass radii for the two bulges of RHG109 and RHG097, respectively.

Current usage metrics show cumulative count of Article Views (full-text article views including HTML views, PDF and ePub downloads, according to the available data) and Abstracts Views on Vision4Press platform.

Data correspond to usage on the plateform after 2015. The current usage metrics is available 48-96 hours after online publication and is updated daily on week days.

Initial download of the metrics may take a while.