Open Access

Fig. 4

image

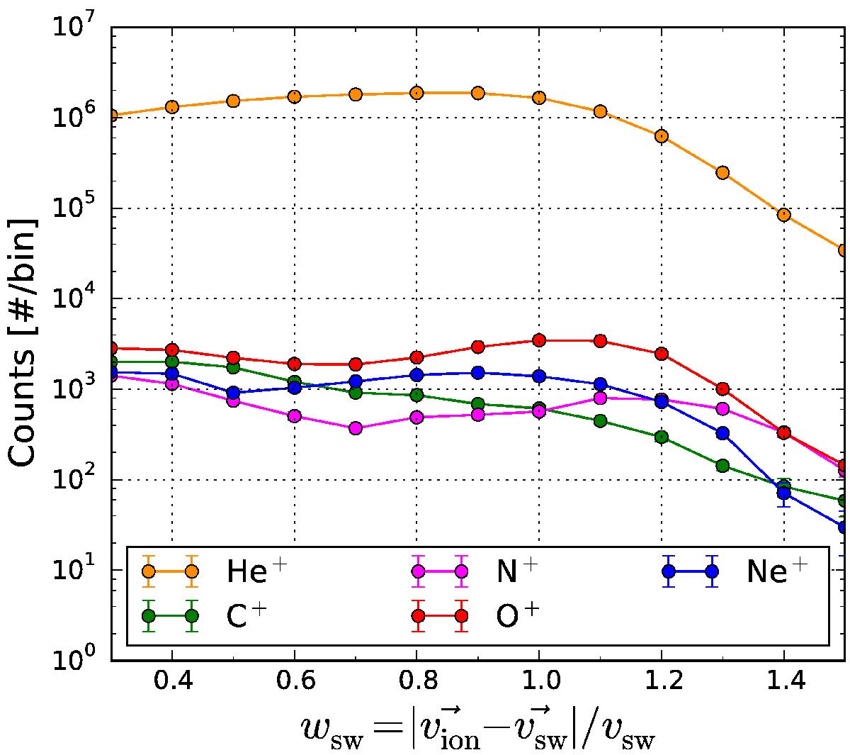
Pickup ion velocity spectra, f(w), of He+, C+, O+, and Ne+ as a function of wsw = | vionvsw | /vsw. Due to systematic and statistical uncertainties of the underlying mass-per-charge model, a reliable prediction for the velocity spectra of Fe3+, Mg+, and Fe2+ (and partially N+) is hardly possible. The spectra were corrected for the orbital velocity of the spacecraft and instrumental phase space coverage, but no instrumental response function to correct for the varying detection efficiency was applied (see text for details).

Current usage metrics show cumulative count of Article Views (full-text article views including HTML views, PDF and ePub downloads, according to the available data) and Abstracts Views on Vision4Press platform.

Data correspond to usage on the plateform after 2015. The current usage metrics is available 48-96 hours after online publication and is updated daily on week days.

Initial download of the metrics may take a while.