Open Access

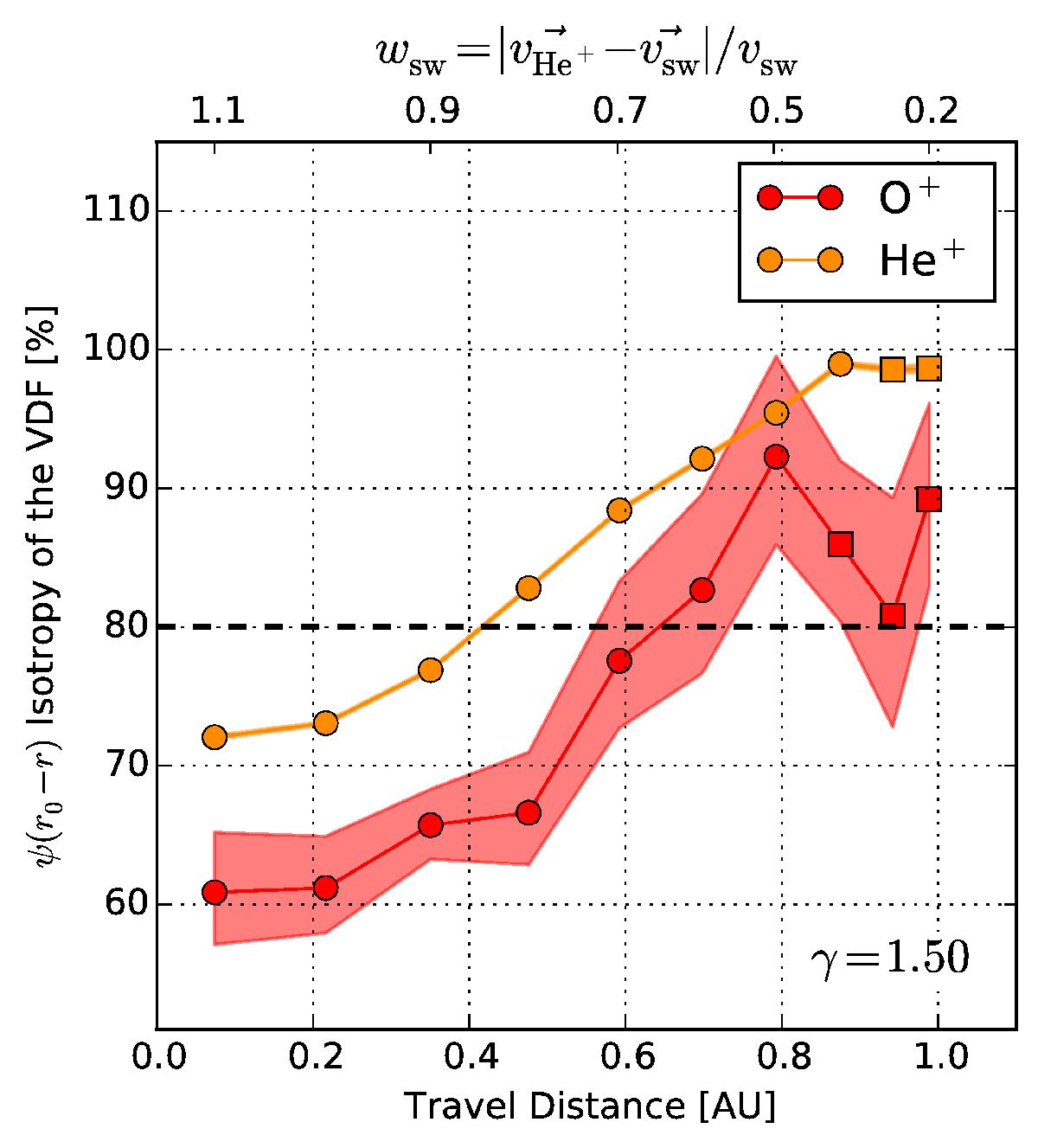
Fig. 7

image

The fraction of isotropically distributed pickup ions as a function of their travel distance from their production location up to 1 AU. The travel distance was calculated based on the assumption of an ideal adiabatic expansion with a cooling index of 3/2. Circular and square markers respectively denote whether the anisotropy is produced by pickup ions that stream in predominately perpendicular way or parallel to the local magnetic field.

Current usage metrics show cumulative count of Article Views (full-text article views including HTML views, PDF and ePub downloads, according to the available data) and Abstracts Views on Vision4Press platform.

Data correspond to usage on the plateform after 2015. The current usage metrics is available 48-96 hours after online publication and is updated daily on week days.

Initial download of the metrics may take a while.