Free Access

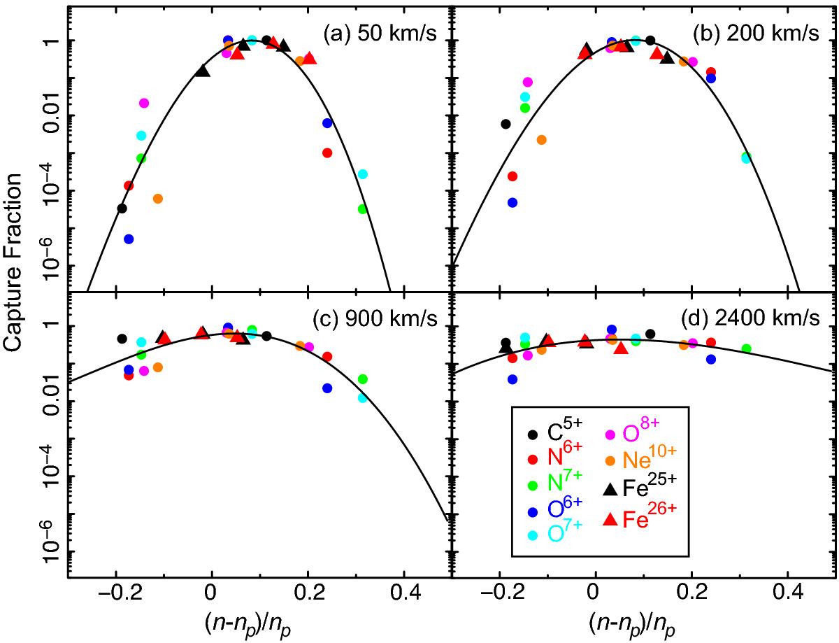
Fig. 2

image

Fractions of single electron capture into n shell, at v = 50 km s-1a); 200 km s-1b); 900 km s-1c); and 2400 km s-1d); as a function of (nnp) /np. Different sets of data points represent different projectile ions, as indicated in d); and the solid lines are the polynomial fitting to the data.

Current usage metrics show cumulative count of Article Views (full-text article views including HTML views, PDF and ePub downloads, according to the available data) and Abstracts Views on Vision4Press platform.

Data correspond to usage on the plateform after 2015. The current usage metrics is available 48-96 hours after online publication and is updated daily on week days.

Initial download of the metrics may take a while.