Free Access

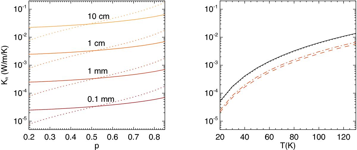
Fig. 1

image

Left panel: radiative conductivity KR as a function of porosity p and grain size R, at mean temperature T = 80 K, emissivity ϵ = 1, solid thermal conductivity KS,C(T) = 567 /T for the crystalline ice form. Curves correspond to Breitbach and Barthels (BB, full line) and Gundbach and Blum (GB, dotted line) models. Right panel: temperature dependence of the radiative conductivity for p = 0.5 and R = 1 cm. Model curves are also plotted for emissivity ϵ = 0.5 in red (BB: dashed line; GB: dot-dashed line).

Current usage metrics show cumulative count of Article Views (full-text article views including HTML views, PDF and ePub downloads, according to the available data) and Abstracts Views on Vision4Press platform.

Data correspond to usage on the plateform after 2015. The current usage metrics is available 48-96 hours after online publication and is updated daily on week days.

Initial download of the metrics may take a while.