Free Access

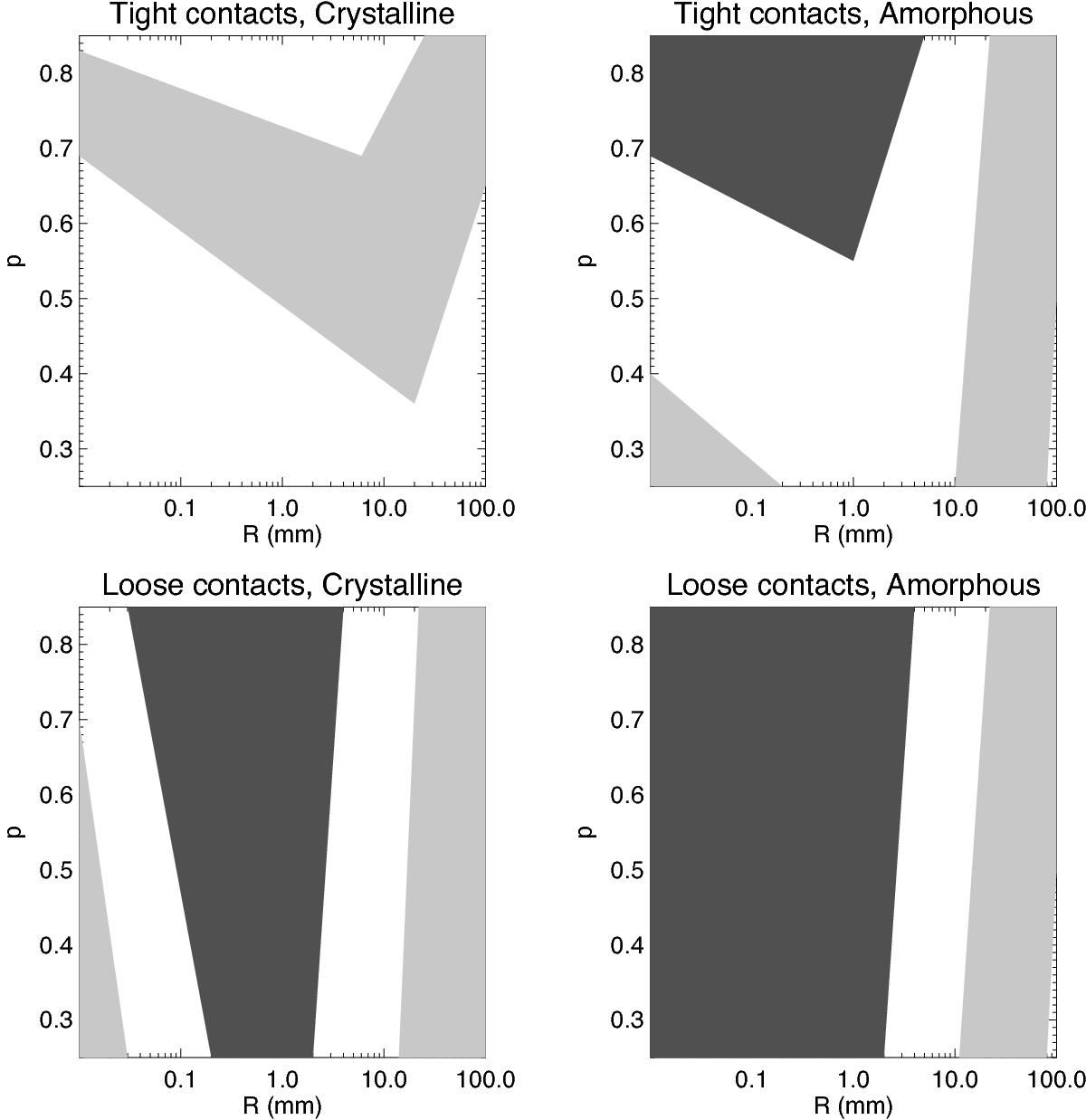
Fig. 6

image

Constraints set on porosity p and grains size R by the observed thermal inertias of region R1 of the trailing face of Mimas (dark gray, Γ1 ≤ 16J/m2/ K/s1/2) and region R2 of the leading face (light gray, Γ2 = 66 ± 23J/m2/ K/s1/2) of Mimas (Howett et al. 2011). Left panels: crystalline water ice. Right panels: amorphous water ice. Both tight (top panels) and loose (bottom panels) contacts cases are considered too (see Fig. 5 for details). Temperature is assumed to be 80 K here.

Current usage metrics show cumulative count of Article Views (full-text article views including HTML views, PDF and ePub downloads, according to the available data) and Abstracts Views on Vision4Press platform.

Data correspond to usage on the plateform after 2015. The current usage metrics is available 48-96 hours after online publication and is updated daily on week days.

Initial download of the metrics may take a while.