Free Access

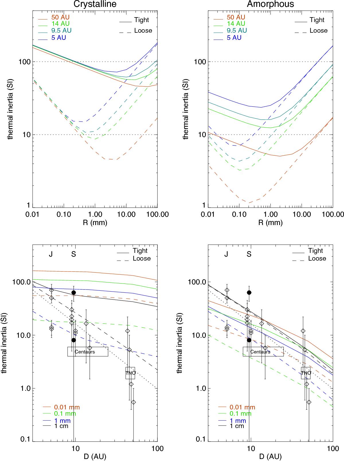
Fig. 7

image

Thermal inertia versus grain size R (top panels) or heliocentric distance D (bottom panels), considering the crystalline ice (left panels) or amorphous ice (right panels) forms. Porosity is fixed at p = 0.5, bolometric Bond albedo A = 0.5 and emissivity ϵ = 1. Both tight (full line) or loose (dashed line) contacts are considered in each case. Data from Table 2 are plotted. Mimas data are plotted as a black symbol for both R1 (trailing) and R2 regions. The best fit of Γ(D) with the data is plotted also (dot line, see text).

Current usage metrics show cumulative count of Article Views (full-text article views including HTML views, PDF and ePub downloads, according to the available data) and Abstracts Views on Vision4Press platform.

Data correspond to usage on the plateform after 2015. The current usage metrics is available 48-96 hours after online publication and is updated daily on week days.

Initial download of the metrics may take a while.