Free Access

Fig. 3

image

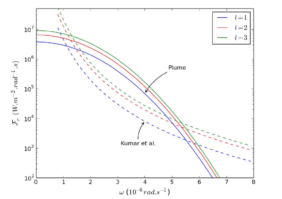
Mean radial wave energy flux per unit of frequency at the top of the radiative zone as a function of the radian frequency, for any azimuthal number m and angular degrees l = 1,2 and 3, in the case of the plume-induced waves (solid lines) and the one of turbulence-induced waves from the formalism of Kumar et al. (1999) (dashed lines).

Current usage metrics show cumulative count of Article Views (full-text article views including HTML views, PDF and ePub downloads, according to the available data) and Abstracts Views on Vision4Press platform.

Data correspond to usage on the plateform after 2015. The current usage metrics is available 48-96 hours after online publication and is updated daily on week days.

Initial download of the metrics may take a while.