Free Access

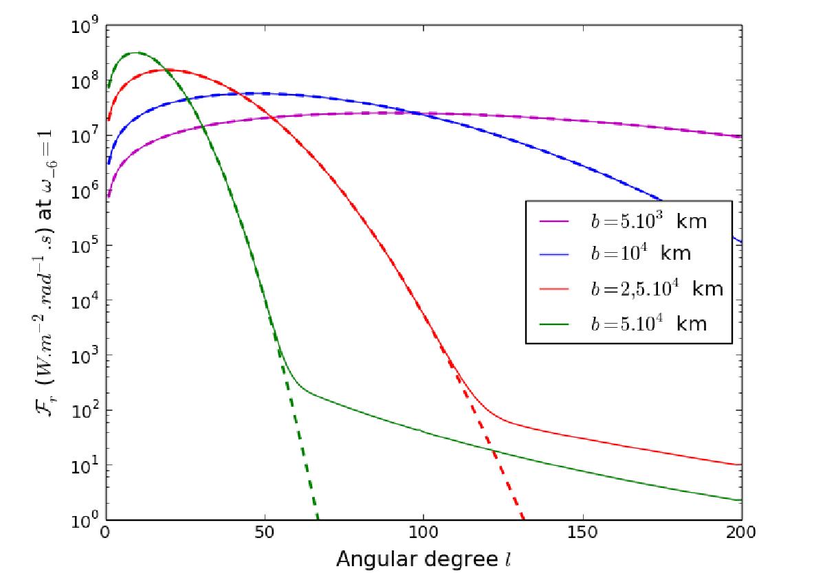
Fig. 5

image

Mean radial wave energy flux at the top of the radiative zone and at the frequency ω = 10-6 rad s-1, as a function of the angular degree and for varying plume radii, b. The numerical results from Eq. (33)(solid lines) are compared to the results using Eq. (37)(dashed lines). The filling factor is supposed to be constant so that a change in the plume radius results in a change of the number of plumes.

Current usage metrics show cumulative count of Article Views (full-text article views including HTML views, PDF and ePub downloads, according to the available data) and Abstracts Views on Vision4Press platform.

Data correspond to usage on the plateform after 2015. The current usage metrics is available 48-96 hours after online publication and is updated daily on week days.

Initial download of the metrics may take a while.