Free Access

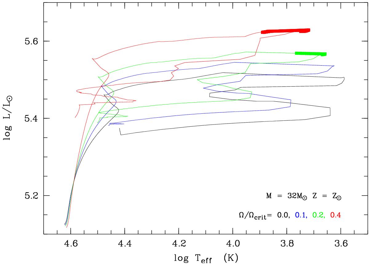
Fig. 11

image

Evolutionary path in the HR diagram of a 32 M star of solar metallicity and for initial rotation rates Ω / Ωcrit from 0 to 0.4, using the models of Ekström et al. (2012). The thicker lines emphasize the part of the tracks compatible with the N/O and C/O abundance ratios and the mass-loss rate derived from the nebula M1-67. For clarity, the tracks are stopped when the current values of the stellar parameters (Table 3) are reached, considering their errors (data point No. 310 in Ekström et al. 2012).

Current usage metrics show cumulative count of Article Views (full-text article views including HTML views, PDF and ePub downloads, according to the available data) and Abstracts Views on Vision4Press platform.

Data correspond to usage on the plateform after 2015. The current usage metrics is available 48-96 hours after online publication and is updated daily on week days.

Initial download of the metrics may take a while.