Free Access

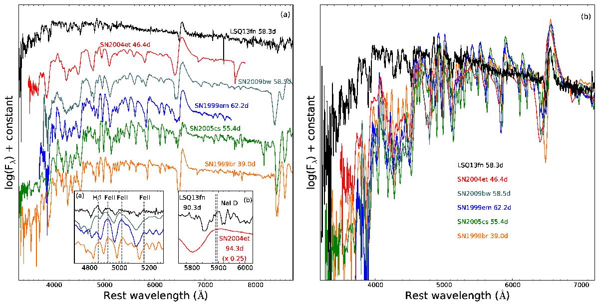
Fig. 6

image

Panel a): comparison of spectra of LSQ13fn during the plateau phase with SNe IIP. All spectra have been corrected for reddening and recession velocity. The epochs refer to the number of days since peak magnitude. From top to bottom, they are ordered in terms of decreasing R band absolute magnitude at 50 d. Inset (a) shows a zoom-in of SN LSQ13fn, SN 1999br, SN 1999em, and SN 2009bw. The rest wavelengths of the strongest Fe ii lines and Hβ are indicated by the vertical dashed lines. Inset (b) shows a zoom-in of the weak Na i D line detected in the 90.3 d spectrum of LSQ13fn. A spectrum of SN 2004et at a similar epoch is included for comparison, which has been scaled. Panel b): the same spectra as panel a), with the flux aligned at ~ 7000 Å.

Current usage metrics show cumulative count of Article Views (full-text article views including HTML views, PDF and ePub downloads, according to the available data) and Abstracts Views on Vision4Press platform.

Data correspond to usage on the plateform after 2015. The current usage metrics is available 48-96 hours after online publication and is updated daily on week days.

Initial download of the metrics may take a while.