Free Access

Fig. 12

image

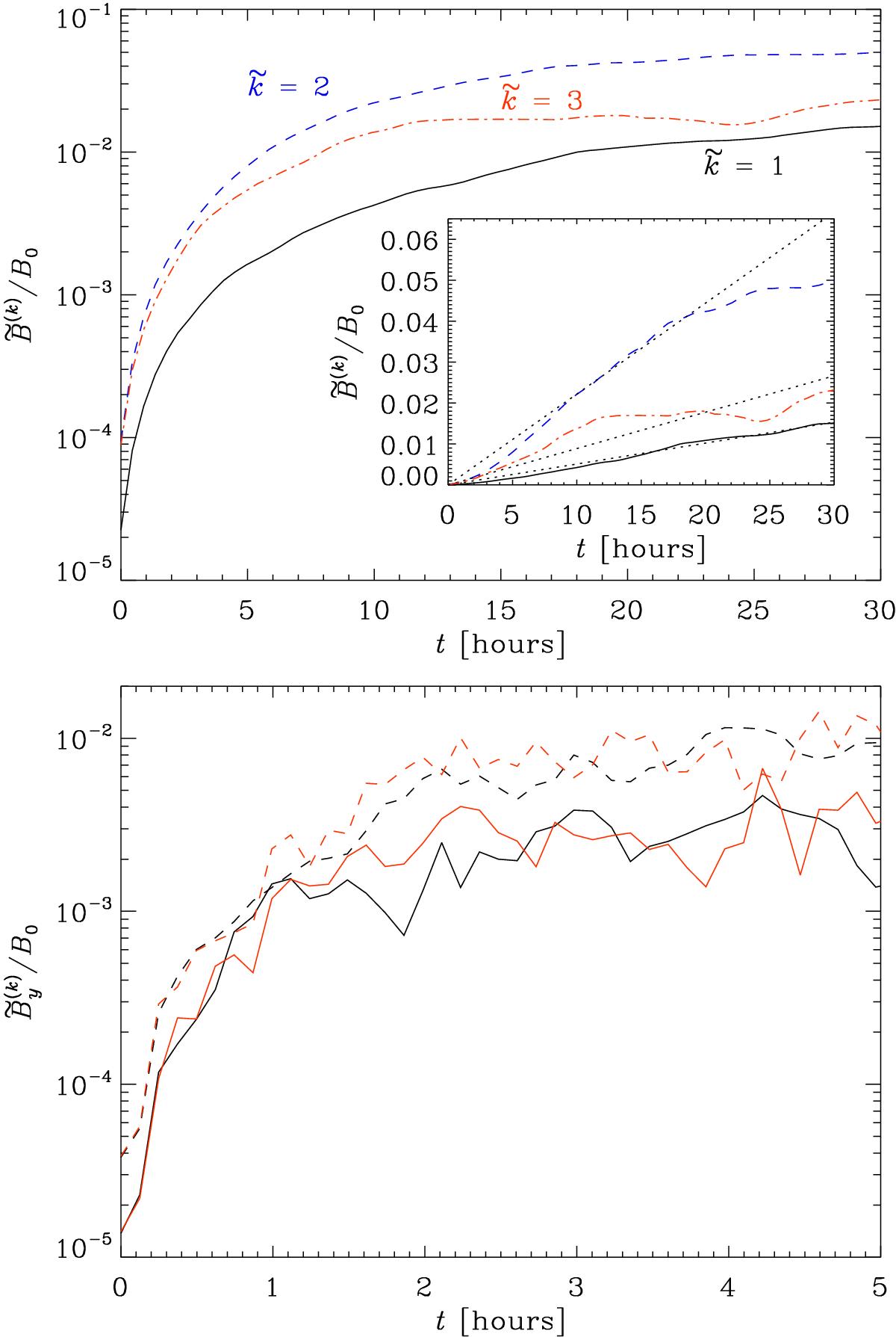
Top panel: normalized Fourier amplitudes for the wavenumbers , where k1 = 2π/Lx, as functions of time from a depth of 0.6 Mm in Run C1v. The inset shows the same in linear scale. The dotted lines in the inset indicate growth linearly proportional to time. Bottom panel: Fourier amplitudes of (solid lines) and 2 (dashed lines) for runs A3h (black lines) and corresponding runs without backreaction from the magnetic field to the flow (red lines).

This figure is made of several images, please see below:

Current usage metrics show cumulative count of Article Views (full-text article views including HTML views, PDF and ePub downloads, according to the available data) and Abstracts Views on Vision4Press platform.

Data correspond to usage on the plateform after 2015. The current usage metrics is available 48-96 hours after online publication and is updated daily on week days.

Initial download of the metrics may take a while.