Free Access

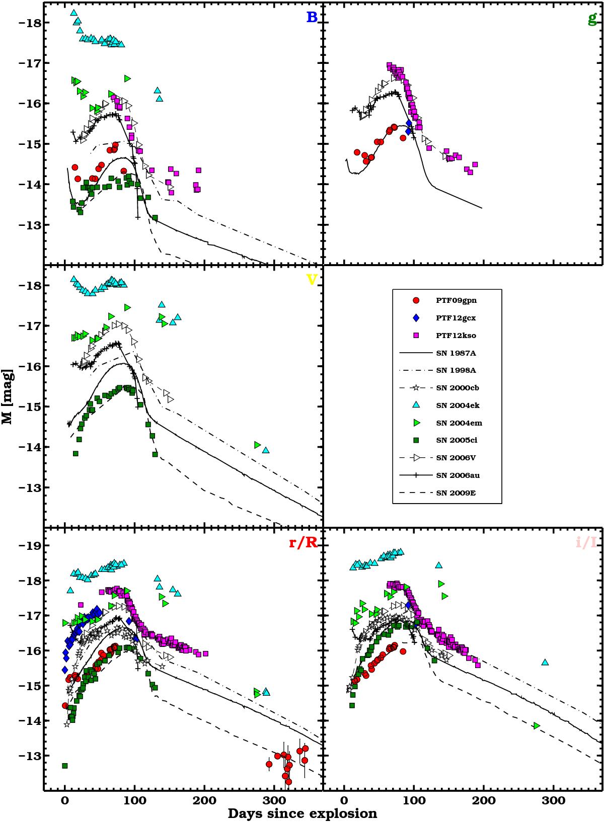
Fig. 6

image

B,g, V, r/R, and i/I-band absolute magnitudes for our PTF and CCCP SN 1987A-like SNe (colored symbols) and for similar events (black lines and symbols) from the literature (Kleiser et al. 2011; Pastorello et al. 2005, 2012; Taddia et al. 2012; and references therein).

Current usage metrics show cumulative count of Article Views (full-text article views including HTML views, PDF and ePub downloads, according to the available data) and Abstracts Views on Vision4Press platform.

Data correspond to usage on the plateform after 2015. The current usage metrics is available 48-96 hours after online publication and is updated daily on week days.

Initial download of the metrics may take a while.