Free Access

Fig. 2

image

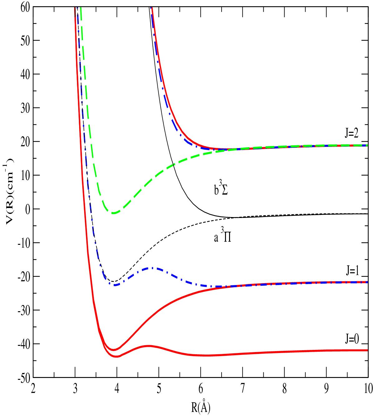
Potential curves correlated with the 3p states without (black) and with inclusion of spin-orbit coupling (red/full: Ω = 0, blue/dash-dot: Ω = 1 and green/dash: Ω = 2) of the Mg–He molecule. The energies are given relative to the potentials without spin-orbit coupling. The fine structure separation is 20.2573 cm-1.

Current usage metrics show cumulative count of Article Views (full-text article views including HTML views, PDF and ePub downloads, according to the available data) and Abstracts Views on Vision4Press platform.

Data correspond to usage on the plateform after 2015. The current usage metrics is available 48-96 hours after online publication and is updated daily on week days.

Initial download of the metrics may take a while.