Free Access

Fig. 3

image

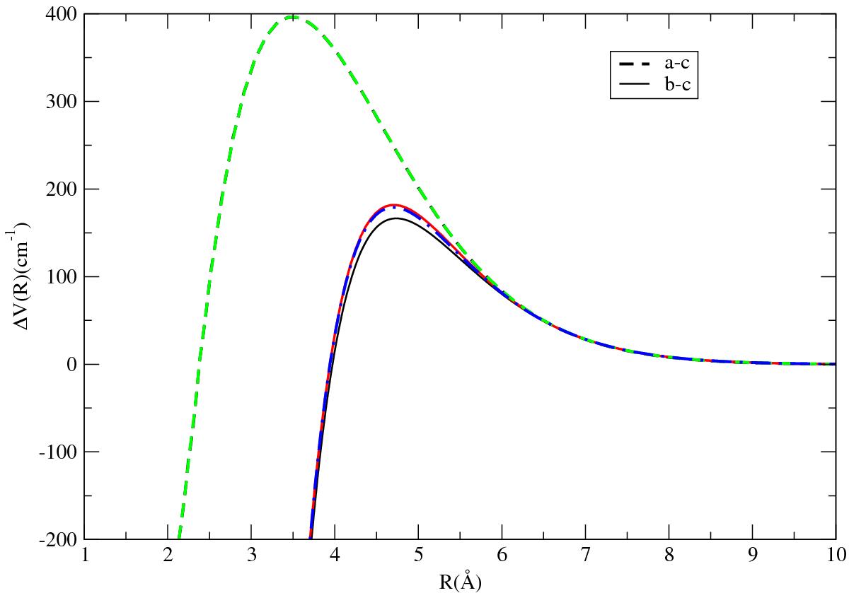
ΔV for the transitions contributing to 3p 4s line without SO (black lines): 3p3Σ → 4s3Σ and 3p3Π → 4s3Σ. All the other ΔV for the components J = 2 are superimposed (red/full: Ω = 0, blue/dash-dot: Ω = 1 and green/dash: Ω = 2).

Current usage metrics show cumulative count of Article Views (full-text article views including HTML views, PDF and ePub downloads, according to the available data) and Abstracts Views on Vision4Press platform.

Data correspond to usage on the plateform after 2015. The current usage metrics is available 48-96 hours after online publication and is updated daily on week days.

Initial download of the metrics may take a while.